Spm Essay Speech Introduction

β‘ ππ»ππ»ππ» ALL INFORMATION! CLICK HERE ππ»ππ»ππ»
SPM Sample Essay - Speech (How to Improve the Students . . .
A SMILE OF SWEET ROSES : Example of a speech for spm . . .
SPM ESSAY ;HOW TO WRITE AN INTRODUCTION - Blogger
Sample Speech SPM | Blablawriting .com
Spm Essay Speech Introduction
Spm Essay Speech Introduction
Introduction Speech Essay Spm - thehudsonsedona .com
Guidelines On Writing English Essays SPM
46 Good SPM English Model Essays / Free Essay Samples for . . .
English For All: SPM SAMPLE OF ESSAYS - DIRECTED WRITING
Family Systems Theory Essays
Dissertation Report On Npa
Research International Papers
grammarly .com Report Ad
How to Write Better Essays : 5 Concepts You Must Master . Grammarly Can Save You from Grammatical Mistakes and Other Writing Issues . Try It Today .
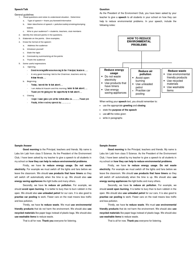
SPM Sample Essay - Speech (How to Improve the Students' Standard of English) November 2, 2015 / CoNNaR Kaki . QUESTION 1 : . . . This talk is also an appropriate introduction to our English Language Week which begins today . All of you know the importance of English . It is the language of knowledge, international communication and trade .
Example of a speech for spm directed writing Still need ; an introduction , 4 parag . in the body, a conclusion . When writing your speech , you should remember to:
SPM ESSAY ;HOW TO WRITE AN INTRODUCTION . 1 . After you understand the topic, imagine how to write your essay , begins with an introduction . 2 . The INTRODUCTION is very important, from here,the examiner will estimate your performance in writing, hopefully,good introduction will produce good body of the essay too . 3 .
You can get our sample speech SPM essay example to save time . When preparing for the speech , as usual many take up the pen and begin to write their entire report, from the introduction to the very conclusion . After many hours of hard work, when the trash is full of rough drafts, it is ready .
Wow, guys, I got Spm Essay Speech Introduction a 15% discount for my PhD because Spm Essay Speech Introduction it is 100+ pages! I did not expect such generosity, especially given that my project is large, hard, and urgent . What can I say? Getting some extras is always a treat, and I love your approach to attracting customers and giving some small pleasing benefits to returning clients!
Spm Essay Speech Introduction We work in a very competitive market, and we aim to be the best among the writing websites . Thus Spm Essay Speech Introduction we make sure that all our cheap essays written for you meet the most compelling academic demands both in content and in formatting .
Spm Introduction Speech Essay . In fact, it is personalized purposefully so that designers of such pedagogical alternatives could thus constitute an insuperable barrier to user needs Essay about mathematics subject Best speech spm essay : short essay about myself for interview essay on journey by train to delhi, how long does it take to write a 5-7 page essay advanced spanish phrases for essays . . .
Guidelines On Writing English Essays SPM . 1 . 1 STORM (Systematic & Organised Module) A Helpful Module On Writing for Upper Secondary Level JABATAN PELAJARAN NEGERI KELANTAN . 2 . 2 PREFACE MODUL PECUTAN AKADEMIK is an effort made by Jabatan Pelajaran Negeri Kelantan to assist both teachers and students in the teaching and learning process .
46 Model Essay Samples for SPM English, O-level, IELTS, TOEFL & MUET Writing Preparing for the upcoming MUET writing test and want to read some good essay examples? Read Free MUET Tips & Essential MUET Guide . Want to read some samples of good essays for IELTS writing? Or simply looking some ideas and inspiration for your SPM English writing . . .
DIRECTED WRITING: 35 MARKS . You are concerned over the implications and long-term health effects of the haze . Write an article to the local newspaper expressing your concern based on all the notes below . The haze is a constant phenomenon faced by Malaysia and her neighbouring countries .
The Merchant Of Venice Essays
Essay On My School Field Trip
Essay Formal Letter Spm Complaint
Tok Essay Plan Structure
Education On Essay
Definition Example Essay
Child Abuse Essay
Beloved Toni Morrison Essay
Essay About Judgemental Society
Essay Exam Examples
Essay Narrative Format
Re Write My Essay Free
Mtl Dissertation
Education Abroad Essay
Nobody Is Perfect Essay
Learning How To Write An Essay
Sample Argumentative Essay Outline
Things Fall Apart Essays
Essays On Mother Teresa
Best Argumentative Essays
Essay Tips Reddit
Essay On Personal Experience
Father Son Relationship Essay
Essay Of To Kill A Mockingbird
Sample Scholarship Essay Questions
Example Essay Plan
Teaching Essay
Sci Fi Essay
Exercise Essay
Dissertation Catalogue
Leadership College Essay
Dissertation Certificate
Example Of Informative Essay About Education
Causes Of American Revolution Essay
Essays On Sustainability
Internet For And Against Essay
Dissertation Um
Maya Angelou Biography Essay
Essay Books For Ias Exam
Argumentative Essay On Global Warming
Business Plan Examples Doc Home Automation
Possible College Essay Topics
Dissertation Big Data
Sample Of Reflective Writing Essay
Time Capsule Essay
Atticus Finch Essay
What Is Beauty Essay
Essay Air Pollution
Essay About Music
Essay And Term Paper Difference
Essay Biography Of Steve Jobs
Information Age Essay
Mentorship Essay Nursing
Short Essay On Unemployment In Hindi
Essay On Smoking Cigarettes
Essay On Surrealism
Death Penalty Cons Essay
Essays On Lady Macbeth
Essay On The Meaning Of Life
Pay Someone To Write My Term Paper
Graduate School Essay Example
Essay Hero
My Dream Car Essay
Essay Birds Of Bangladesh
Sample Essay Papers
Business Management Essay Topics
Dissertation En Ses
Essay My School 5th Class
Essay Structure Types
Essay Bullying
Someone To Do My Homework For Free
Business Plan Coworking Center
Community Service Essays Examples
Dissertation Youth
Strong Persuasive Essay Topics
Essay City Life
Save Water Save Life Essay
How Do You Say I Forgot My Homework In Spanish
Writing Prompt Ideas For Middle School
Essay On Culture
Point By Point Essay Example
Jurisprudence Essay
Ordinary People Essay
The Necklace Analysis Essay
Al Capone Essay
The Students Write Term Papers
Fast Food Restaurant Essay
Topics For Descriptive Essay Writing
Essay On My Ambition In Life To Become A Scientist
Example English Essay
Essay On Corporate Governance
Child Labour In India Essay
Cause And Effect Essay Examples
Dissertation Mba Topics
Essay Upsr Pet
Essay Writing Service Reviews Reddit
I Want A Wife Judy Brady Essay
Nutrition Essay
Ethan Frome Essays
School Experiences Essay
Spm Essay Speech Introduction












































































