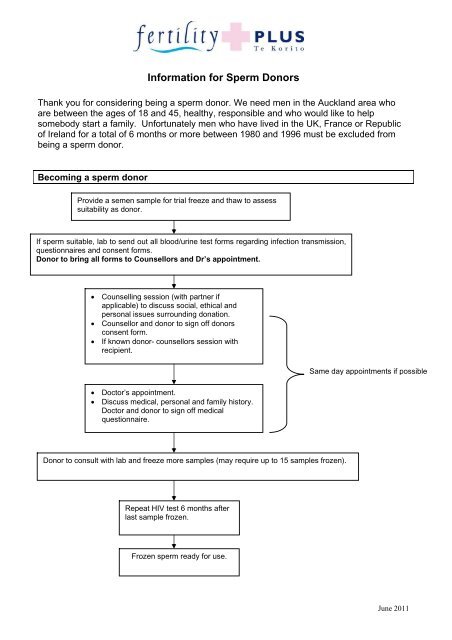
Sperm donation procedure
Old Man And Teen Sex Stories
Emma Roberts Leaked Nudes
Lesbian Mom Fucks Daughter With Strapon
sex with lena
Naked Pics Of Grannies
Webchat With Girls
Only Girls Sex
Swimsuit Models Stripping
18 Let Devushka 50 Parl Anal Sex
Streaming Tv Porno
دانلود فیلم Lie With Me
Phat ass Cuban Bedeli Buttland
Fellation trio
Sperm donation procedure 116 photos


















































































































