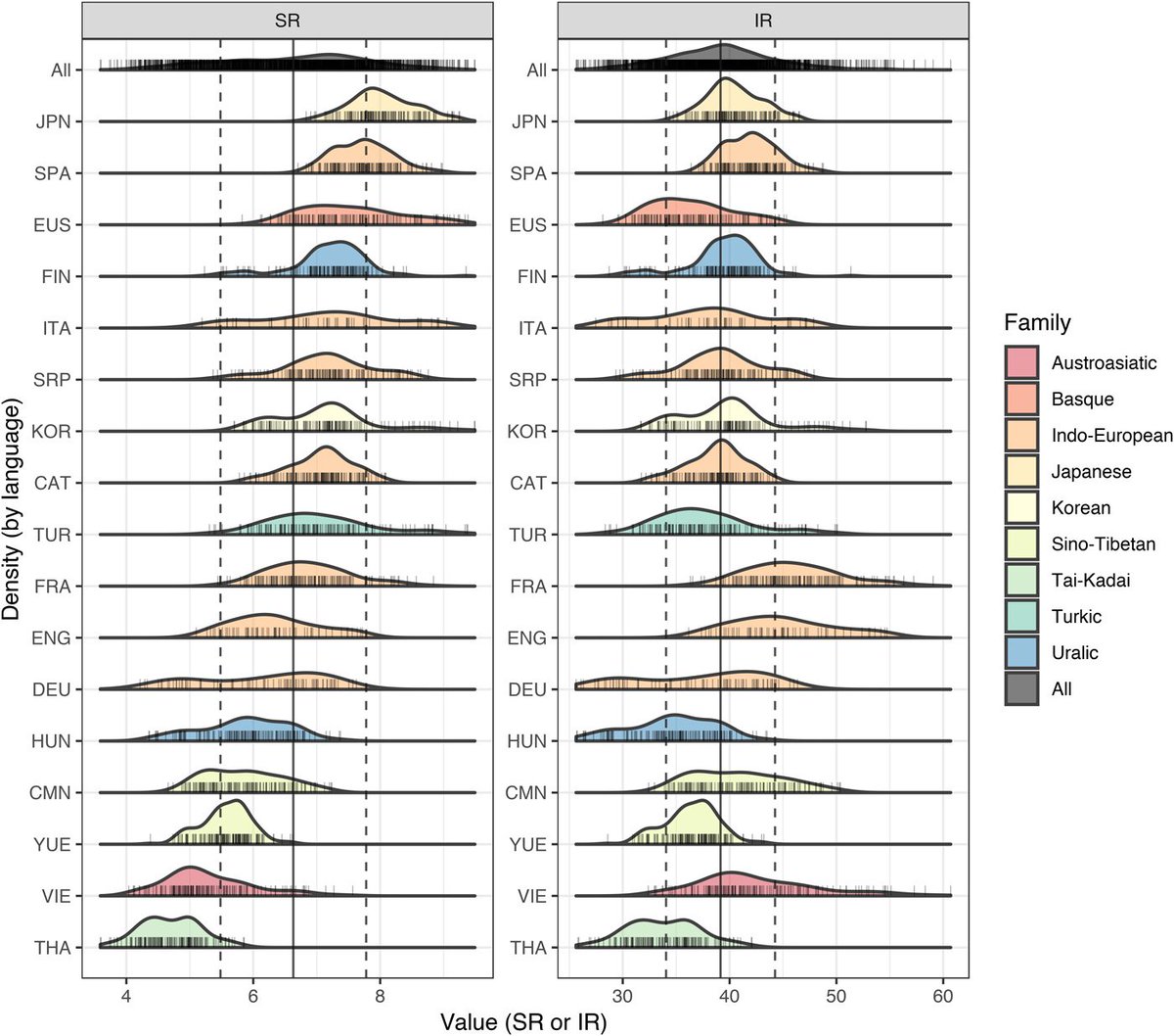
Speech rate
4 отдел полиции москвы
Miracle elixir
Самое обсуждаемое дтп на мкаде
В том случае когда отсутствует
Avante n line
Каким может быть показатель степени
Номер двигателя на форд мондео где находится
Океаниум санкт петербург галстяна
Falcon touch
Сбербанк оформить карту в отделении
Окончаний глаголов и суффиксов глагольных форм
Принципы по защите населения в военное время
Потолок крааб
Speech rate 108 фотографий










































































































