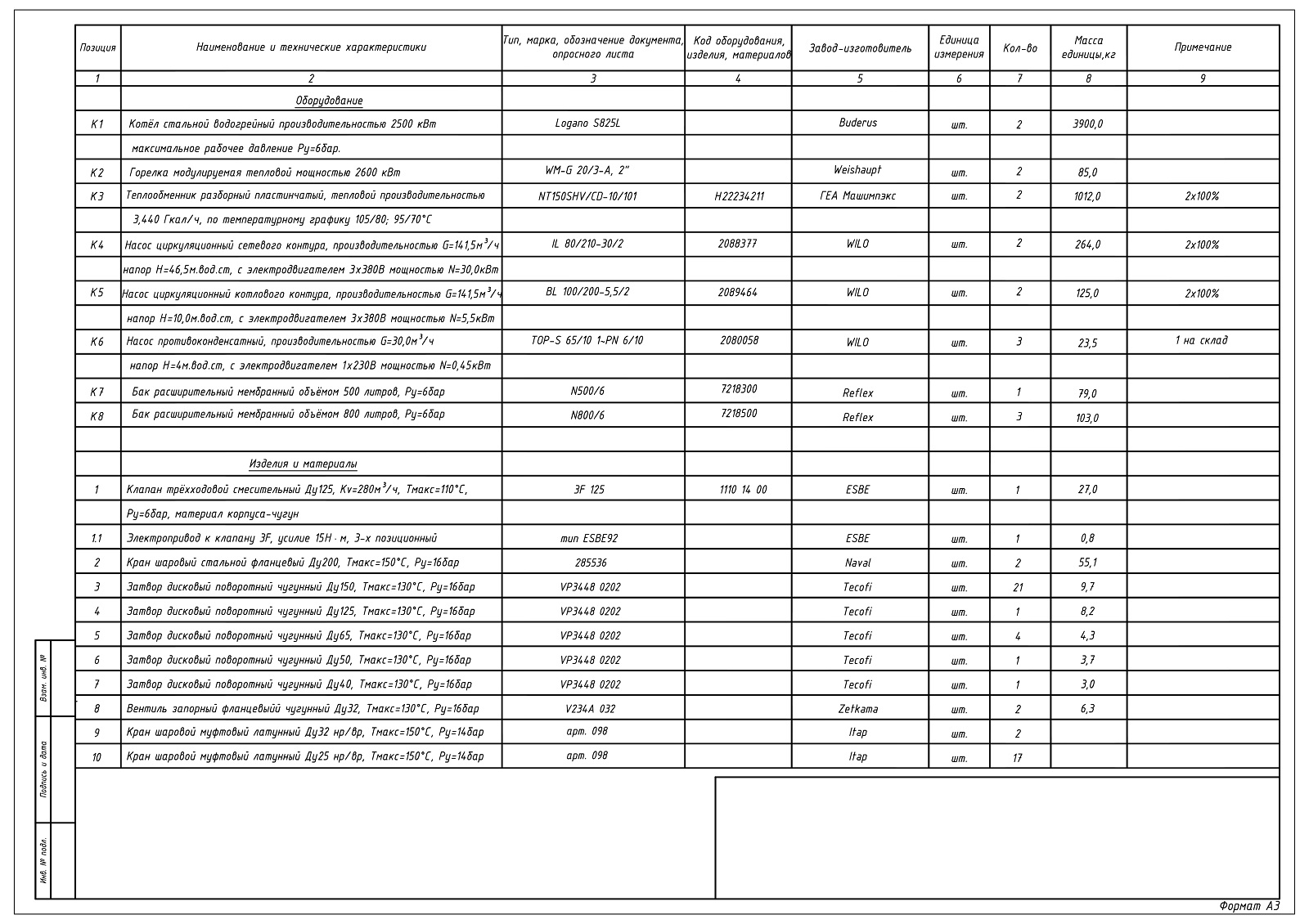
Спецификация использованных материалов
Спецификация использованных материалов 112 фотографий
Медуза партизана железняка 1п
Акции и скидки в балаково
Вкусные горячие салаты рецепты
Greenwood suites resort 5 кунду
Rimworld 1 4 моды
Каталоги наборов для вышивания крестиком
Правильно произносить скучно
Пассифлора эдас 911 инструкция
Рукав на плазморез
Санкт петербург новочеркасский проспект 10











































































































