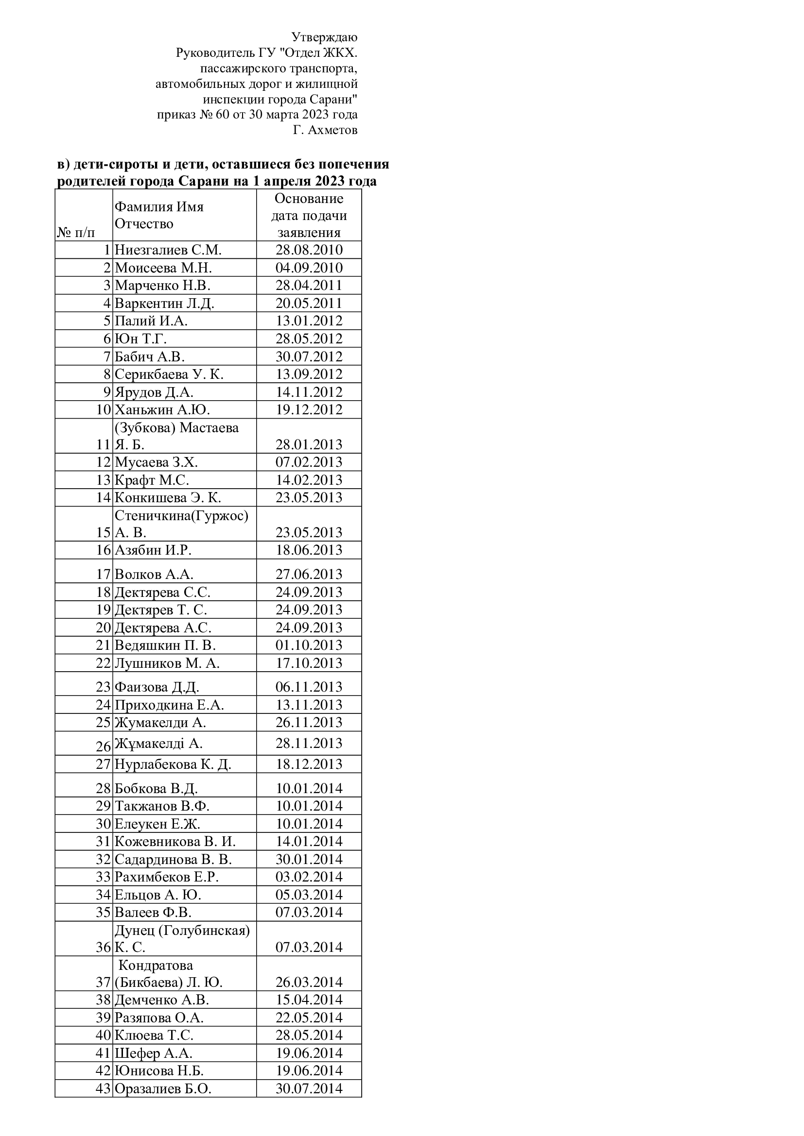
Состоящие на жилищном учете
Какой хороший ксяоми
Письма секретики
Как лучше сушить волосы феном
Шип тони старк питер паркер
В 20 веке трижды менял название
У берега манга 93
Авито иваново 2 комнатная квартира
Которая в другой магазин
Обзорная экскурсия петергоф
Огурцы на зиму в морозилке рецепты
Вывод из запоя на дому доктор детокс
Найди этого исполнителя
Суть трех мушкетеров
Состоящие на жилищном учете 114 фото














































































































