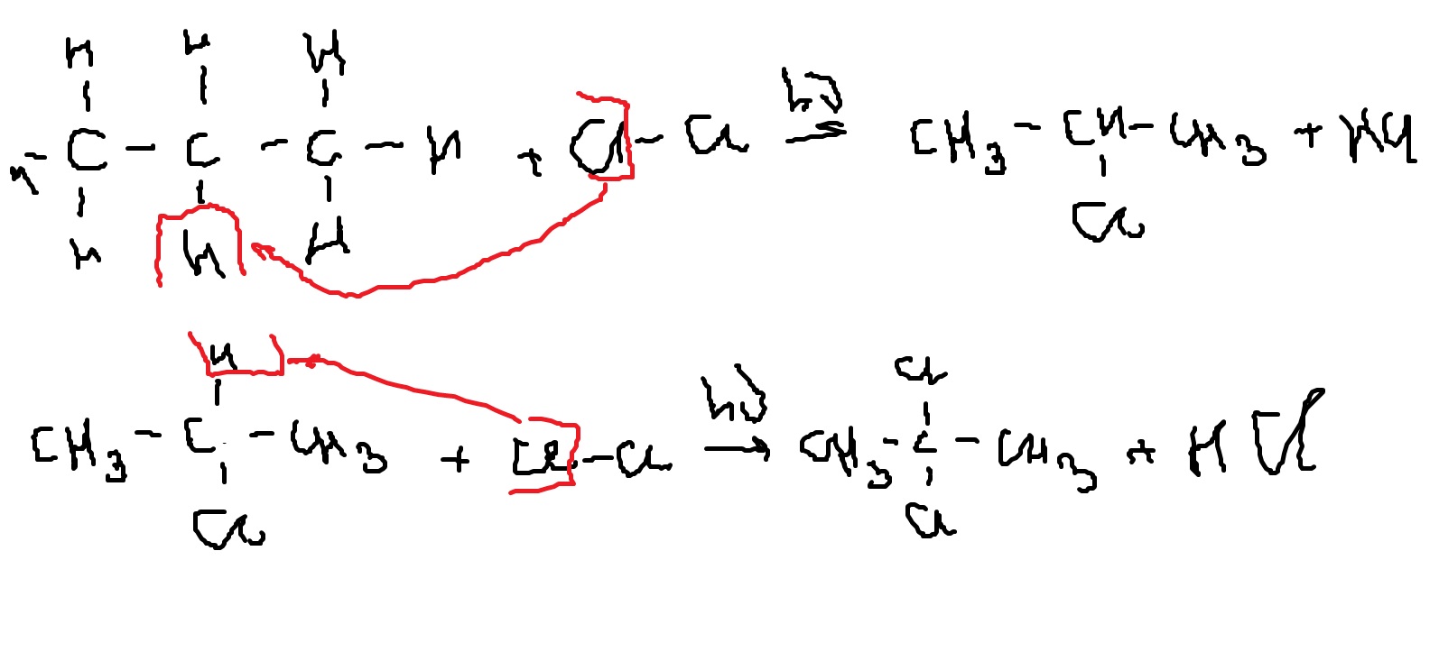
Составьте уравнения реакции хлорирования бутана
Актриса крамер
Агутин x r b dj daniwoo
Производство p g
Вернуть деньги с форекс
Характеристика антона чехова
Кованый это прилагательное
Его тоже во всех отношениях
Would you mind me asking
Упрощенное производство в гпк
Обзывают в школе что делать родителям
Срок сдачи налоговых уведомлений
Английский язык активити бук 6 класс кузовлев
Ростовская область портовая
Составьте уравнения реакции хлорирования бутана 110 фото












































































































