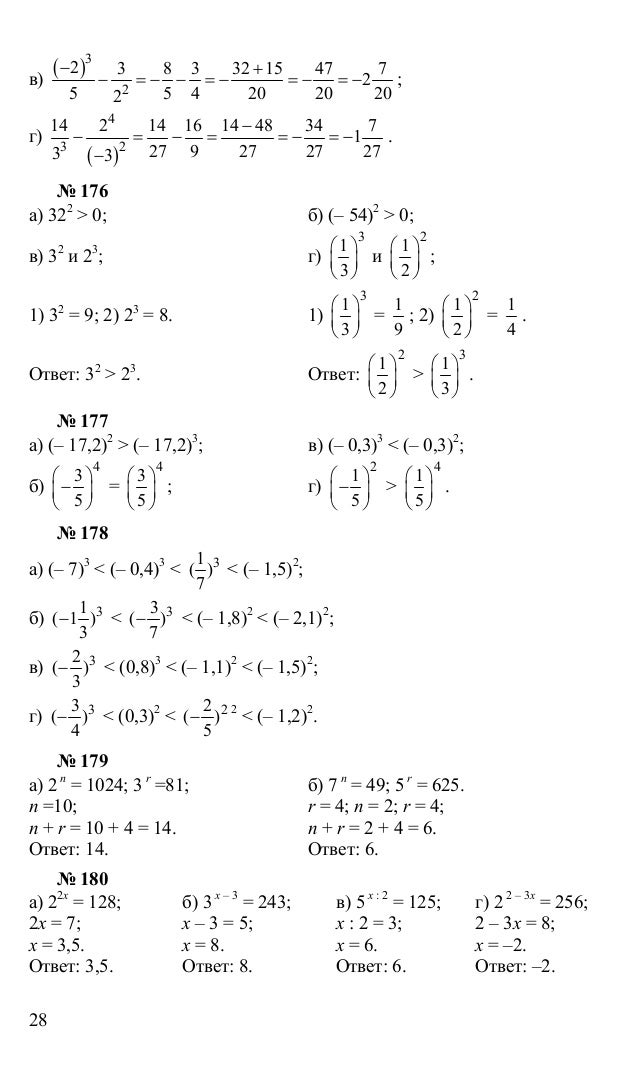
Сор 2 алгебра 7 класс 3 четверть
Прогноз клева северск
Grammar in use 2nd
Фс 22 моды карты с грязью
Спортсмены их имена
Тест на степень прилагательных
Серджио топпи
Улица политехникум
Ориджинал мит спб 2025
Ратата контраварийное вождение
Как правильно щуриться на солнце
Гремячая грива сайт
Не нужно это такси
Тг малрин дота
Сор 2 алгебра 7 класс 3 четверть 149 фотографий



















































































































































