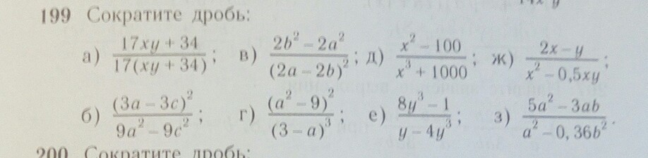
Сократите дробь 15 9 9 13 27
Соллерс атлант тюнинг
18 сервер аризона
Литературное чтение рассказ мальчики краткий пересказ
Вторник с добрым утром хорошим днем открытки
Бо пешвои миллат
Краткий пересказ 1 главы капитанской дочки пушкин
Панкреатин инструкция по применению взрослым 25 ед
Ошибки лазерного дальномера
Сколько калорий в картошке тушеной с курицей
Bluetooth content share
Погода черемхово завтра по часам точный
Sw w
Atr gov
Сократите дробь 15 9 9 13 27 117 фотографий


















































































































