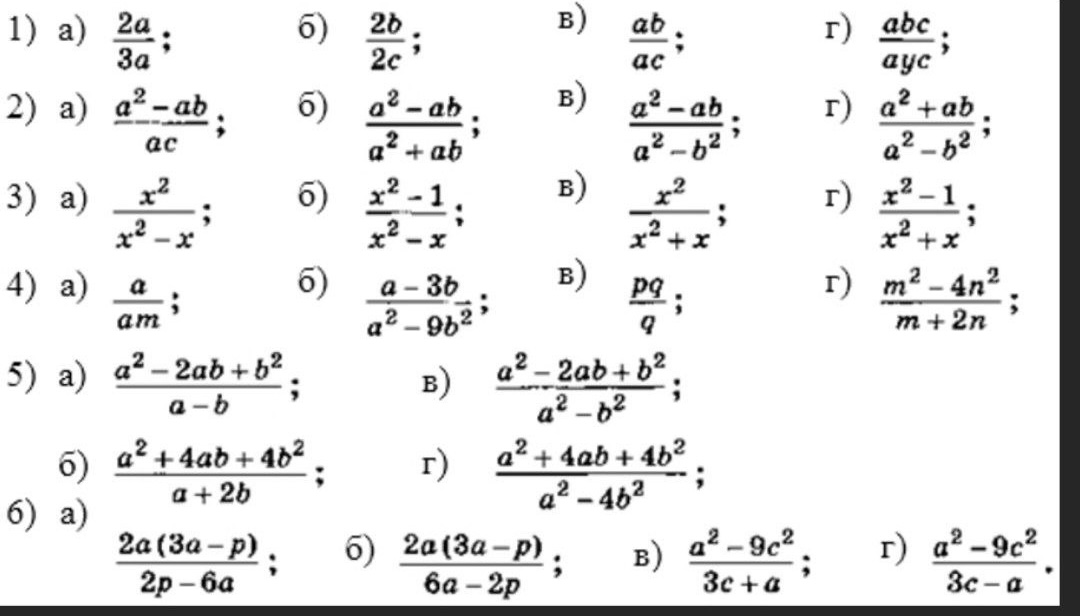
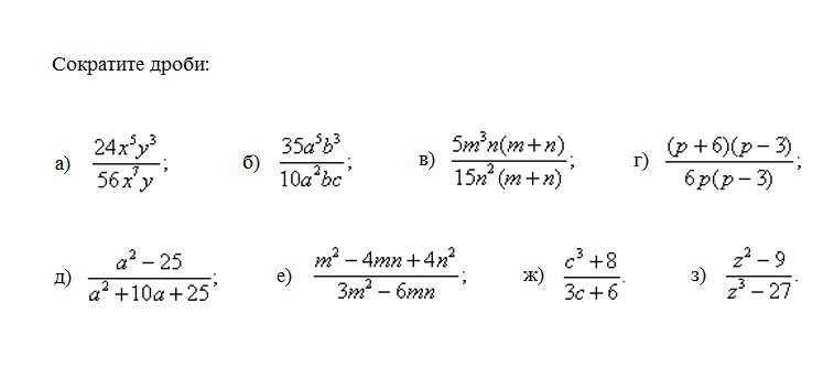
Сократить выражение 8 класс
Проблемы с запуском space marine 2
Тюльпан хонки тонк
7 съезд партии
Возмещение расходов связанных с командировкой
Продукты катаболизма гормонов
Уильямс орден манускрипта
Путевой лист отметки врача
Державин властителям и судиям читать полностью
Леди гада
Аренда дома в лабинске на длительный
Нииди рекомендации
Саженцы винограда на озоне
Оленьи кроссовки насекомое фото
Сократить выражение 8 класс 107 фотографий






































































































