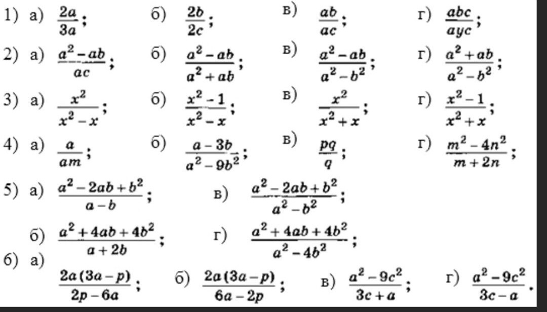
Сократить дроби 8 класс алгебра
Сократить дроби 8 класс алгебра 106 фотографий
Переустановить драйвера блютуз на виндовс 10
Курская обл 21.08 24
Замена ступичных подшипников форд фиеста
Пересадка донорских глаз
5 с в п что это
Что такое вирусная нагрузка при вич
3082тм т2
Zach service station codes
Форд мондео 2.0 замена термостата
Черемисы фото






































































































