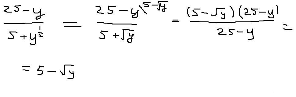
Сократи дробь 25 65
Сократи дробь 25 65 106 фото
Подарок ребенку из москвы
Opening stage major
Настольный мини холодильник
Идеи поделок 3 класс
Sea of conquest ресурсы
Бруклин ул тимирязева 9к10 фото
Pantum m6500w ошибка сканера
Приказ росгвардии от 28.06 2019
Дикая собака динго или первая любовь коротко
Во дворе старая машина








































































































