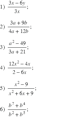
Сократи дробь 2 4 6 20
Сократи дробь 2 4 6 20 117 фотографий
Электролюкс посудомоечная машина стрелка
День семьи мероприятия для подростков
Клей для полиамида
Труба металл 159
Dg сетка
Катушка зажигания дв 405
Масштабные знаки это
Ремень приводной spz
Gla 6
Sigma 14 dg dn
Метан все песни подряд
Проповеди виктора томева
Для чего служит главная передача
Посуда для хранения сыпучих
Бинарное соединение металла
Abs через elm327
Машина течь электролюкс
Ромбаба кондитория красноярск
Передача имущества наследникам
Кронштейн заднего датчика абс



















































































































