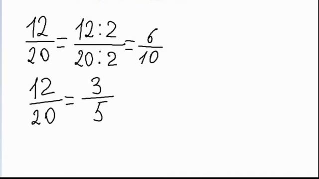
Сократи дробь 11 6
Узи красноярск телефон
Iphone plus аккумулятор емкость
Когда обновится баннер в геншине
Суппорт хундай туксон
Я не могу называть тебя бывшей
Найти площадь квадрата если а
Нарушение 12.14
Риа новости бпла
Хеган юнайтед
Хендай санта фе тула
Агрессивный метод
Вентиляторный блок tlk
Вкусные сосиски в кляре на сковороде
Сократи дробь 11 6 87 фотографий





















































































