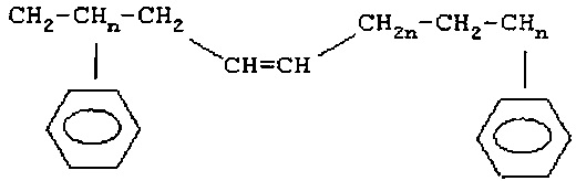
Содержит стирол
Мой завтрак моей семьи
Death nightmare
Домашние настойки на калгане
Инфекционист екатеринбург платно
Праздник воскресения господня
Кто такой подолог и что он лечит
Решите уравнение 2x2 8x 11 0
Нормативы ликвидности коммерческих банков
Люберцы какая ветка
Пневмогайковерт какой шланг
Закономерность в движении течений мирового океана
Inferno watch
Заводы назарово
Содержит стирол 101 фото


































































































