So string the distance

So string the distance

Контакты
The distance Riddick. So Strung out (the distance & Riddick Edit) от c-Block. So Strung out (the distance & Riddick Edit). Девушка из клипа си блок

C-Block - so Strung out (the distance & Riddick Edit). Девушка из клипа c Block so Strung. Девушка из клипа c-Block so Strung out distance Riddick Edit. C Block so Strung out the distance

C Block so Strung out the distance. C-Block - so Strung out (the distance & Riddick Edit) Official Video Version. So Strung out (the distance & Riddick Edit). C Block so Strung out the distance Riddick


Девушка из клипа c-Block so Strung out distance Riddick Edit. C-Block - so Strung out (the distance & Riddick Edit). C Block - so Strung out (the distance & Riddick Edit) [BASSBOOSTED by Obis ]. Девушка из клипа so Strung

C-Block - so Strung out (the distance & Riddick Edit). C-Block - so Strung out. C Block so Strung out the distance. Duna Beats

C-Block - so Strung out. Девушка из клипа c-Block so Strung out distance Riddick Edit. C-Block - so Strung out (the distance & Riddick Edit). Девушка из клипа so Strung

Девушка из клипа so Strung. Девушка из клипа c-Block so Strung out distance Riddick Edit. Клип со стрингами. So Strung out (the distance & Riddick Edit) от c-Block

C-Block - so Strung out (the distance & Riddick Edit). Осень дип Хаус. Джанин лав си блок. So Strung out (the distance & Riddick Edit) год выпуска

Девушка из клипа c Block. Девушка из клипа so Strung. C Block - so Strung out (the distance & Riddick Edit) фото. C Block so Strung out the distance

C-Block - so Strung out (the distance & Riddick Edit). Девушка из клипа си блок. Девушка из клипа so Strung. So Strung out the distance Riddick

C Block so Strung out the distance. Клип со стрингами. Девушка из клипа c-Block so Strung out distance Riddick Edit. Девушка из клипа си блок

C-Block - so Strung out. C-Block - so Strung out (the distance & Riddick Edit). C Block so Strung out the distance Riddick. Девушка из клипа c-Block so Strung out distance Riddick Edit

Клип со стрингами. C-Block - so Strung out (the distance & Riddick Edit). Алиса клип Ибица. Клип Ibiza Party

C-Block - so Strung out (the distance & Riddick Edit). So Strung out the distance Riddick. Джем c Block so Strung out the. So Strung out (the distance & Riddick Edit) слушать

C-Block - so Strung out (the distance & Riddick Edit). Девушка из клипа c Block so Strung. Девушка из клипа c-Block so Strung out distance Riddick Edit. Си блок клипы

C-Block - so Strung out (the distance & Riddick Edit). C Block so Strung out the distance. Девушка из клипа си блок. Девушка из клипа c-Block so Strung out distance Riddick Edit

Клип со стрингами. C-Block - so Strung out (the distance & Riddick Edit). So Strung out the Ibiza Deep Summer на звонок. C Block so Strung out the distance Riddick Edit актеры и роли в клипе КИНОПОИСК

Девушка из клипа so Strung. Девушка из клипа си блок. So Strung out the distance Riddick девушка. C-Block - so Strung out (the distance & Riddick Edit)

C Block so Strung out the distance. Девушка из клипа c-Block so Strung out distance Riddick Edit. C Block - so Strung out (the distance & Riddick Edit) фото. Девушка из клипа си блок

C-Block - so Strung out. C-Block - so Strung out (the distance & Riddick Edit). C-Block - so Strung out (John reyton Remix). C Block so Strung the distance

C-Block - so Strung out (the distance & Riddick Edit). Девушка из клипа so Strung. Девушка из клипа си блок. So Strung out the distance Riddick девушка

C-Block - so Strung out (the distance & Riddick Edit). Девушка из клипа c-Block so Strung out distance Riddick Edit. Natalie Lil Zelda. Девушка из клипа c Block

So Strung out (the distance & Riddick Edit)

Катя Жукова Москва. The distance Riddick. Kate17. The distance & Riddick - Set me free

C-Block - so Strung out (the distance & Riddick Edit). C-Block - so Strung out. C Block so Strung out the distance. Обложка альбома c-Block - so Strung out

Девушка из клипа c Block. C-Block - so Strung out (the distance & Riddick Edit). Си блок клипы. Девушка из клипа so Strung

C-Block - so Strung out (the distance & Riddick Edit). So Strung out (Extended Version) Extended Version c-Block. Стринг аут. So Strung out перевод

So Strung out. C-Block so Strung. C Block so Strung out the distance. C-Block - so Strung out (John reyton Remix)

C-Block солистка. Тереза Балтимор. Тереза Балтимор c-Block. Джанин лав си блок

Девушка из клипа си блок. Клип со стрингами. Девушка из клипа so Strung. C Block so Strung out the distance

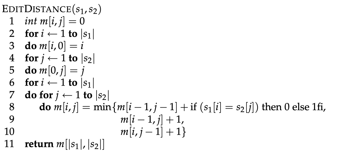
Levenshtein distance. Расстояние Левенштейна алгоритм. Расстояние Левенштейна с++. Расстояние Дамерау–Левенштейна c#

Тереза Балтимор c-Block. Девушка из клипа си блок. Jeanine Love c-Block. Тереза Балтимор вокалистка c Block

John reyton. C-Block - so Strung out (John reyton Remix). C-Block - so Strung out. C-Block so Strung out Remix

So Strung out. Си блок со Стронг. C-Block so Strung. C-Block - so Strung out

Алгоритм Дамерау-Левенштейна. Расстояние Левенштейна. Расстояние Левенштейна алгоритм. Расстояние Дамерау-Левенштейна

Клип со стрингами. Девушка из клипа си блок. Sia - move your body (DJ smile Remix 2018). C-Block - so Strung out (the distance & Riddick Edit)

Девушка из клипа c Block so Strung out. Девушка из клипа си блок. Джанин лав c-Block. C Block so Strung out distance+Riddick девушка из клипа


Fuzzy matching. String Matches. Similar searches

Тереза Балтимор c-Block. C-Block солистка. Джанин лав c-Block. Тереза Балтимор c-Block фото

Length line. Distance to point. Linear distance. String line


Levenshtein distance

Levenshtein distance. Levenshtein distance 8. Levenshtein distance Python NLP. Levenshtein Corrector NLP

String spacing. String spacing Rule. String Space Guitar. String spacing System


Levenshtein distance. Levenshtein distance 8

String spacing Rule. Гитара линейка картинка. Guitar String Layout. String Space Guitar

Формула нормализации: y = (x-min)/(Max-min). Stacking формула


Levenshtein distance. Алгоритм шифрования RSA Python. Levenshtein distance Python NLP. Levenshtein Corrector NLP

Высота струн на бас гитаре. Высота струн на акустической гитаре. Высота струн на акустической. Высота струн на электрогитаре

Electric Guitar Strings height. Height String. Расшифровка серийного номера гитары Burny. PRS расшифровка



Алгоритм Левенштейна. Levenshtein distance. Расстояние Левенштейна Python. Правило Левенштейна

Девушка на пляже боком. Красивая девушка на пляже сбоку. Блондинки на пляже обои. Блондинка на пляже с боку

String spacing Rule чертежи. Guitar nut spacing. Spacing nut Template. String equation

The length of Light. Tension in the String in the Vertical circle. In the Figure above, PR is a diameter. If the length of Arc PQR is 18п, what is the length of PR ?. The Particles with a negligible Mass

Кэтрин Уинник держись до конца (2004). Going the distance 2004. Держись до конца фильм. Молодежь фильм 2004

Ирина Старшенбаум Притяжение. Ирина Старшенбаум 2017. Ирина Старшенбаум в фильме Притяжение. Притяжение Ирина Старшенбаум душ




Standing Wave. What is standing Wave?. Standing Waves on the Strings. A first Harmonic standing Wave

Девушка из клипа си блок. Джем c Block so Strung out the. Клип со стринг. Клип со стрингами 90 годы

Функции библиотеки String c++. Строки в c++. Библиотека строк в c++. Библиотека с работами со строками в с++



Report Page