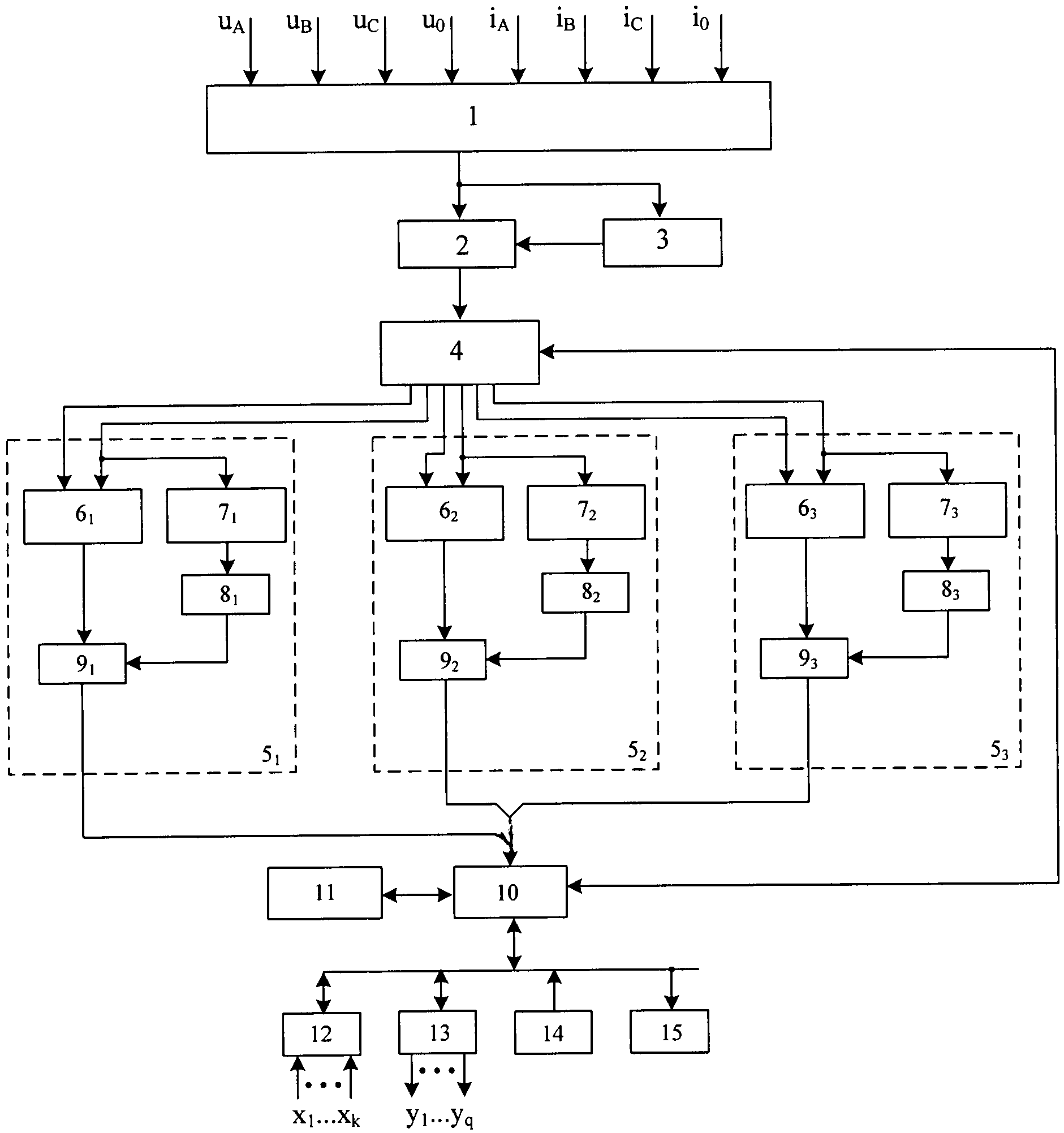
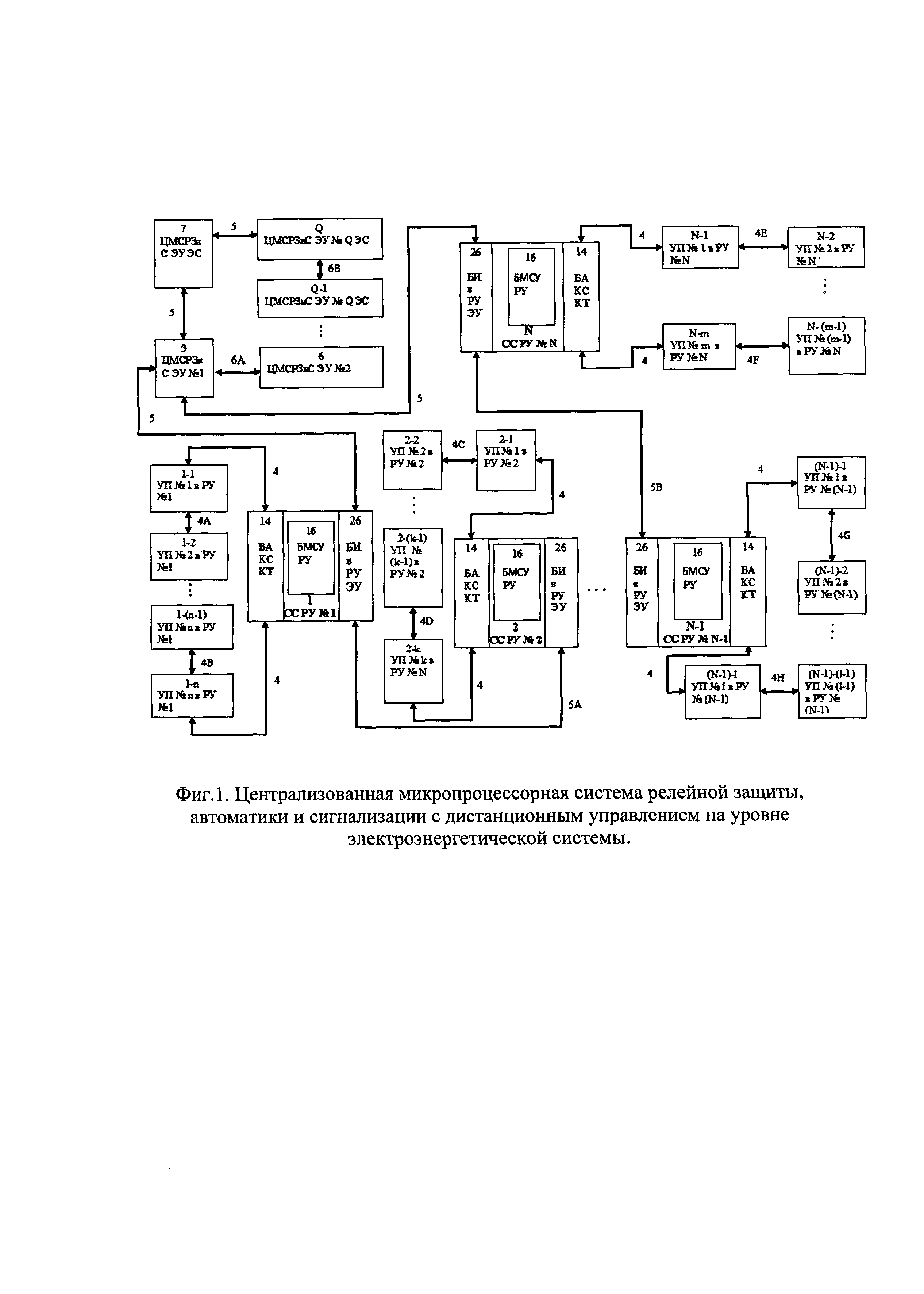
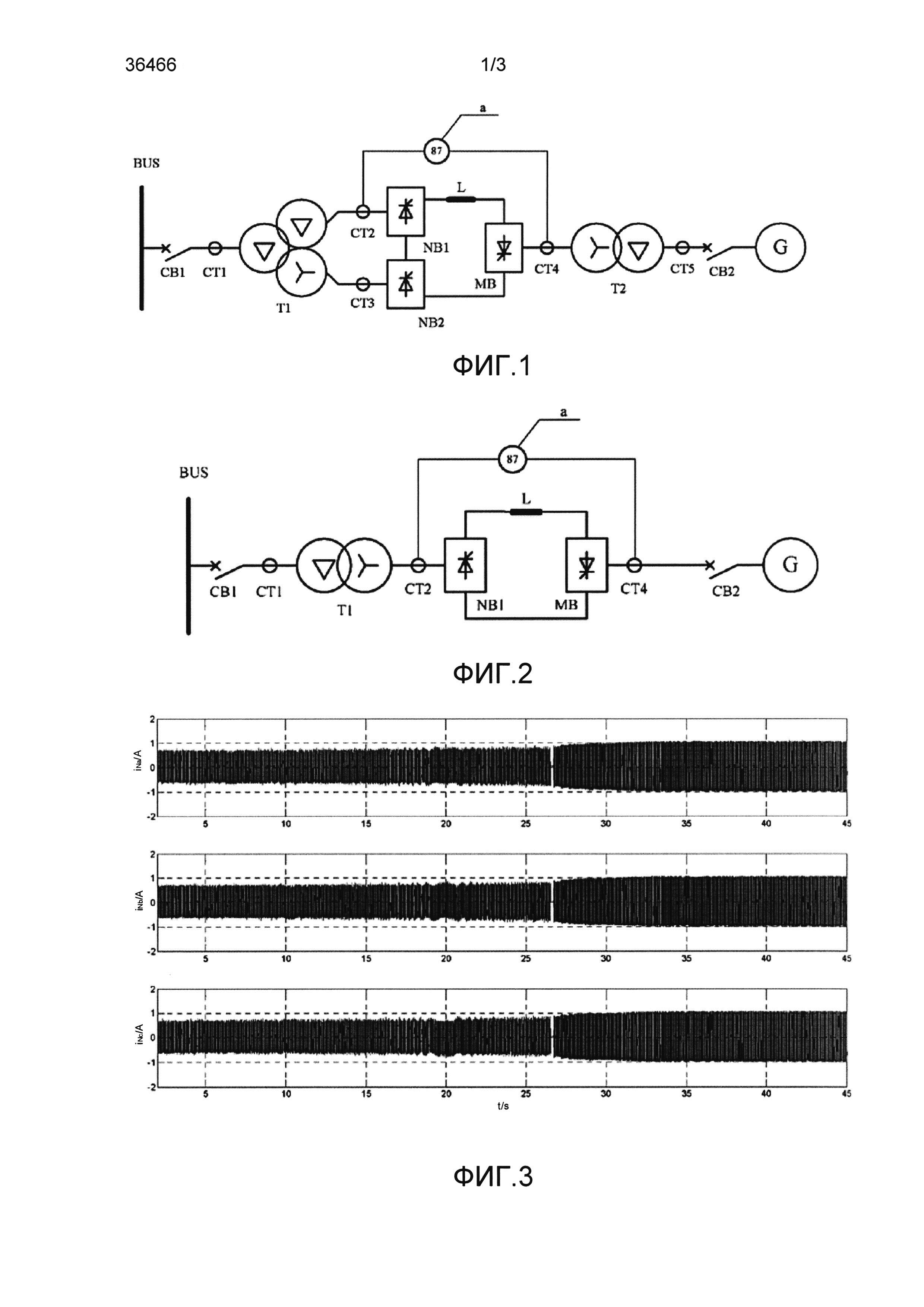
Сложное устройство рза
Труба ф 57
Труба канал 150
Кто родился в 27 сентября
Как на английском будет ехать на машине
Bliss юности
221 95
Гильд 2
Типы пищевых отходов
Новинки танцевальной музыки шансон
Сервис фнп
Центр здоровье для всех ломоносов
Встречи кому за 30
Garden party yves
Сложное устройство рза 142 фотографий











































































































































