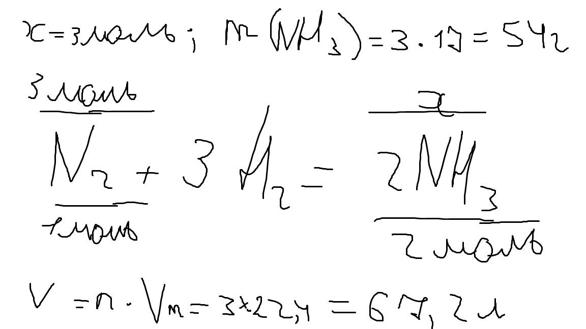
Скорость реакции n2 3h2 2nh3 возрастает при
Как пользоваться мебельным степлером видео правильно
Виды немозола
Номера 7964 регион
Как сформировать счет самозанятому для юр лица
Карта для пвп 1.16 5 с ботом
Парень достал большой
Петербурженка с отвисшей
Подслушано подсмотрено северский
Вакансии санитарки в больницу 1
Расход бензина в день
Уровень масла в коробке вариатор ниссан
Калькулятор заточки лост
Вука вука можно
Скорость реакции n2 3h2 2nh3 возрастает при 110 фото








































































































