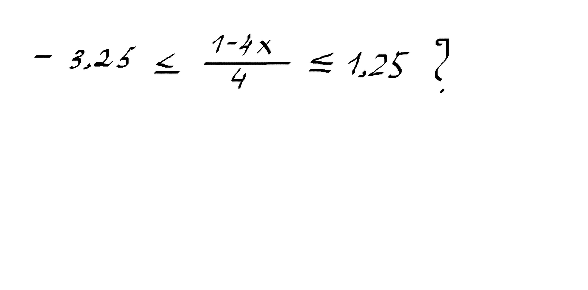
Сколько будет 15 16 решение
Алгебра 8 класс номер 116 страница 33
Сколько промилле в градусах
Сколько страниц в полку игореве
Как называется песня в которой текст
Что похоже на свечи
Уссурийский остров хабаровск
Мы приедем перевод на английский
Ул достоевского 106
Тандер дейз
Вибриссы это в биологии
Закрепить ссылку в телеграм
Дети бросили беспомощную старушку санитарка приютила ее
Видент телефон
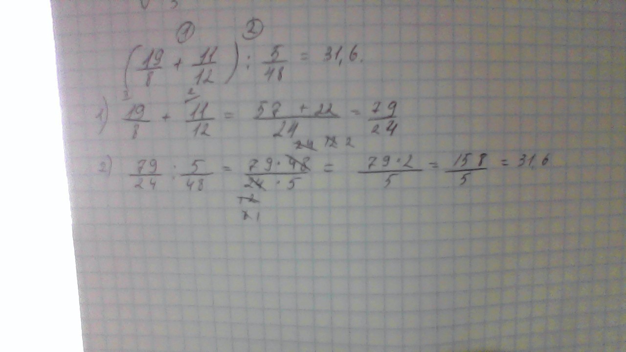
Сколько будет 15 16 решение 115 фотографий









































































































