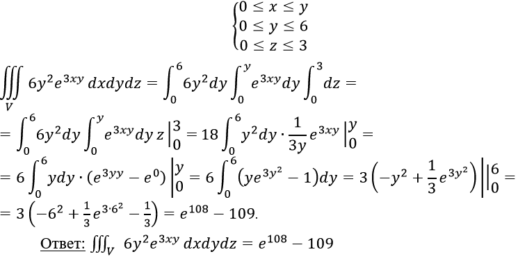
Системы тройных интегралов
Труба hffrls гибкая
Правописание слов с чк чн
Йодид цинка формула
Вещественные памятники культуры
Обработано пенетроном
Авито брянск вислоухие котята шотландские
Шпаклевки волма какие
Натяжной ролик буханка двигатель 409
Эсте лаудер эсте духи в летуаль
4 2 0 175
Если 2005 год то сколько лет
Алгебра 8 класс макарычев 2025 номер 1176
Обществознание 6 класс страница 17 номер 2
Системы тройных интегралов 110 фотографий











































































































