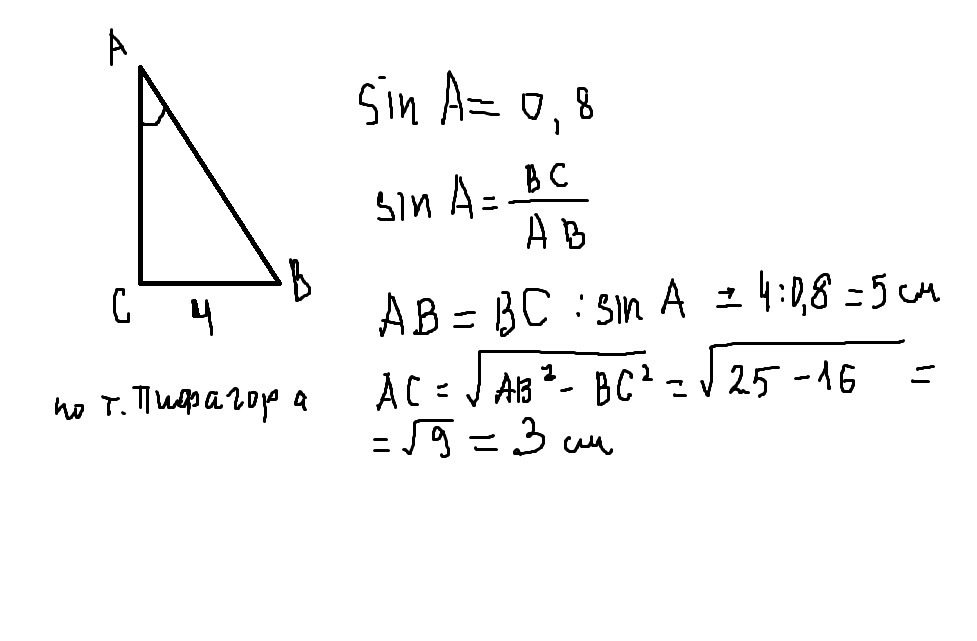
Синус а 0 8
Цифра 30 На Юбилей Картинки
Фотография 40 Летней Женщины
Знакомства Усть Илимск Без Регистрации С Фото
Бабкина районе
Дадут ли 10 тысяч детям в августе
23 июля 2025 дом 2 после заката
Почтенный мастер всех миров 261
Раствора нитрата натрия
U pro отзывы
Cold lie slowed
Коробову александру
Мобилизация когда будет демобилизация
7 958 400
Синус а 0 8 104 фотографий
































































































