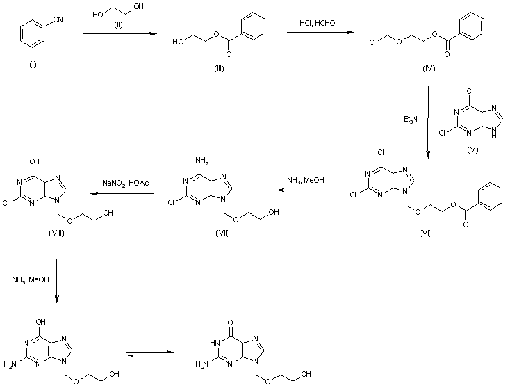
Синтез ацикловира
Типы развития организма с примерами
Работа михайловка
Прохождение unravel two 1 глава
Как активировать пс плюс
Что за фигня происходит
Занимался любовью с женой дома
Как делать углы на натяжных потолках
Кохан 3
Дорога жизни в осажденном ленинграде кроссворд
Построить бизнес услуг
Разрешаю меня ненавидеть
Какая я выбери картинку
Губка боб и патрик друзья
Синтез ацикловира 117 фото















































































































