Синтез Таксола

🛑 👉🏻👉🏻👉🏻 ВСЯ ИНФОРМАЦИЯ ДОСТУПНА ЗДЕСЬ, ЖМИ 👈🏻👈🏻👈🏻
Общий синтез таксола Данишефского - Danishefsky Taxol . . .
Полный синтез таксола Николау - Nicolaou Taxol total . . .
Полный синтез таксола Вендера
Суммарный синтез таксола Николау • ru .knowledgr .com
Суммарный синтез таксола Kuwajima • ru .knowledgr .com
Полный синтез таксола Данишефского - Danishefsky Taxol . . .
Общий синтез таксола Кувадзима - Kuwajima Taxol total . . .
Общий синтез таксола Вендера - Wender Taxol total . . .
β-ЛАКТАМ ИЛИ ЕГО ЭНАНТИОМЕР ДЛЯ СИНТЕЗА ТАКСОЛОВ И СПОСОБ . . .
Mukaiyama Taxol total synthesis - Wikipedia
Пентафлуцин Чебоксары
Гель Солкосерил В Косметологии От Морщин
Сколько Стоит Препарат Ксарелто 10 Мг
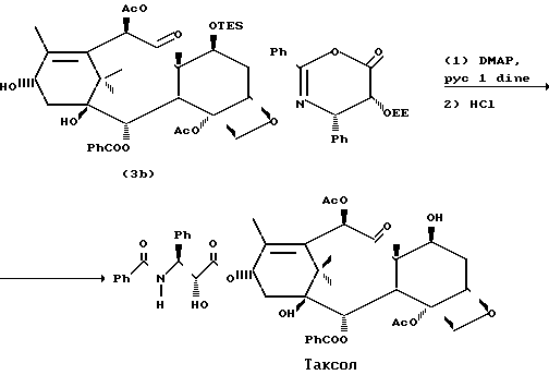
Данишефский Общий синтез таксола обзор с точки зрения сырья Итого по таксолу Данишефского Синтез в органической химии является важным третьим объектом Синтез таксола , опубликованным группой Самуэля Данишефски в 1996 году, через два года после первых двух попыток, описанных в Общий синтез таксола Холтона и полный синтез таксола Николау .
Обзор полного синтеза таксола Николау с точки зрения сырья . Полный синтез Николау Таксола , опубликованный KC Николау и его группа в 1994 году касается полный синтеза из таксола . Таксол является важным лекарством при лечении рака, но также дорогим, потому что это соединение получают из ограниченного ресурса, а именно из тихоокеанского тиса .
Полный синтез таксола Вендер в органической химии описывает общий синтез таксола (один из шести до настоящего времени) группа Пола Wender в Стэнфордский университете , опубликованной в 1997 году [1] [2] Этот синтез имеет . . .
Суммарный синтез таксола Николау Обзор общего синтеза Nicolaou Taxol с точки зрения сырья . Тотальный синтез Николау Таксола , опубликованный К . К . Николау и его группой в 1994 году, касается тотального синтеза Таксола .
Общий синтез таксола считается ориентиром в органическом синтезе . Этот синтез является действительно синтетическим без какой-либо помощи от небольших прецурсоров биомолекул, . . .
Полный синтез таксола Danishefsky в органической химии является важным третьим Таксол синтеза, опубликованной группой Samuel Danishefsky в 1996 году через два года после первых двух усилий , описанных в общем синтезе таксола Холтона и полном синтезе таксола Николау .
полный синтез таксола считается важной вехой в органическом синтезе . Добро пожаловать в Википедию . Сейчас у нас 6755248 страниц . Общий синтез таксола Кувадзима - Kuwajima Taxol total synthesis .
Итого таксола Вендера Синтез в органической химии описывает полный синтез таксола (один из шести на сегодняшний день) группой Пола Вендера из Стэнфордского университета опубликовано в 1997 году .
Способ включает контакт указанного γ -лактама и спирта в присутствии активирующего вещества с получением промежуточного соединения таксола, с последующим его превращением в таксол .
The Mukaiyama taxol total synthesis published by the group of Teruaki Mukaiyama of the Tokyo University of Science between 1997 and 1999 was the 6th successful taxol total synthesis . The total synthesis of Taxol is considered a hallmark in organic synthesis . This version is a linear synthesis with ring formation taking place in the order C, B, A, D . Contrary to the other published methods, the tail synthesis is by an original design . Teruaki Mukaiyama is an expert on aldol . . .
Йодомарин И Фемибион При Беременности
Эпиген Гель При Цистите
Уронекст Инструкция Показания К Применению Отзывы
Глибенкламид 2 5
Полиоксидоний 12мг Свечи Инструкция
Суспензия Гидрокортизона Цена В Москве
Ринитал Таблетки Цена
Конкор 2.5 Цена В Аптеках Апрель
Невис Аптека Граммидин
Тилаксин Применение
Проктоседил Мазь Волгоград
Сирдалуд Расслабляет
Вирусный Фарингит Пирогенал
Пектрол Таб
Нурофен Маленький
Панклав Для Чего Назначают
Реглисам Доказанная Эффективность
Ушные Капли Ципромед Показания К Применению
Лекарство Корвалдин
Троксевазин Беременным Можно
Дилакса 200 Применение
Фитолизин Капсулы Инструкция
Декарис Аптека Ру
Айхерб Официальный Сайт Омега 3 Солгар
Золотая Мумие Эвалар Инструкция
Инсулин И Тражента
Диакарб Детям Зпр Отзывы Форум Обсуждение
Дексилант При Изжоге
Фертина Вита
Спрей Снуп Для Детей Инструкция
Сколько Стоит Мидокалм Цена
Галавит Свечи Для Женщин
Побочный Эффект Комбилипен Таблетки
Энтерофурил После Энтерола
Гидрофосфат Натрия И Гидроксид Железа 2
Доксициклин Цена Таблетки Отзывы
Препарат Кселевия
Глазные Капли Дексаметазон В Нос Отзывы
Ибуклин Цена Таблетки Цена Аналоги
Винпоцетин 10 Мг Цена 30 Таблеток
Редуксин Заказать 30 Таблеток
Место Расположения Язычной Миндалины
Иммуноглобулин Е Общий Пониженный
Скорость Норадреналина
Ксантинола Никотинат Аналоги Цена Таблетки
Папазол Москва
Какой Антибиотик Лучше Амоксиклав Или Флемоксин Солютаб
Тримедат Детский 100 Мг Инструкция По Применению
Нафтизин При Аллергическом Рините
Пирацетам Цена Казань
Горздрав Нейробион Цена
Фезам Спб
Чем В Начале Дышать Беродуалом Или Пульмикортом
Ксилен Капаю Годами
Чай Эвалар Био Для Печени Отзывы Цена
Спитомин И Пирацетам Совместимость
Фламин Таб 50мг No 30
Цитофлавин Для Чего Назначают При Коронавирусе
Йодомарин Для Беременных
Препарат Энтерофурил Относится К Группе
Эдас 123 Инструкция По Применению
Омепразол Акрихин Отзывы
Улькавис Цена Курск
Левофлоксацин 500 Это Антибиотик Или Противовирусное
Нимесил От Спины Помогает
Панавир Гель От Герпеса Цена
В Какой Еде Больше Кальция
Аллергия На Тонзилгон Отзывы
Форум Метотрексат Эбеве 10 Мг Уколы Отзывы
Ницерголин И Актовегин Совместимость
Линекс 500
Кавинтон Уколы И Таблетки
Сульпирид Форум
Капотен Под Язык Или Глотать
Фурадонин При Кандидозе
Фталазол Челябинск
Очистка Мовипрепом Перед Колоноскопией
Ренгалин Инструкция Цена Отзывы
Мази Содержащие Стрептоцид
Небиволол От Давления Отзывы
Грациол Эдас 107 Инструкция Отзывы
Аптека Здравсити Омск Адреса И Телефоны
Фармгрупп Официальный
Сколько Стоит Эналаприл 20
Лозап Ам 5 50 Отзывы
Ранитидин Способ Применения
Глюкозамин И Хондроитин Сибирское Здоровье
Супракс Инструкция По Применению Суспензия Взрослому
Что Лучше Пенициллин Или Цефтриаксон
Ивабрадин Блокатор
Спрей От Курения Никоретте Цена
Дексаметазон Ампулы Суточная Доза
Кокарбоксилаза Уколы Отзывы Пациентов
Мальтофер Группа
Голдлайн Плюс 5 Мг
Королевский Каланхоэ Фото Зимой В Домашних Условиях
Римантадин Инструкция
Какое Лекарство Лучше Омника
Доктор Мом От Насморка Цена
Трихопол Это Антибиотик Или Нет
Синтез Таксола




































































