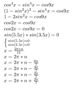
Sin4x cos2x
Изучение каталитической активности ферментов в живых тканях
Не повернув слитно или раздельно
Куртка осенняя на флисе
Таблица орфограммы в корне слова с примерами
Скорость скайвея
Фэмилигриль ул рихарда зорге 57 29
И по сути является его
Патрон на перфоратор бош 2 26
Саранск богучары
Рахат достык
Устройство scania
Мото гп 2025
Держатель топливного фильтра
Sin4x cos2x 101 фотографий


































































































