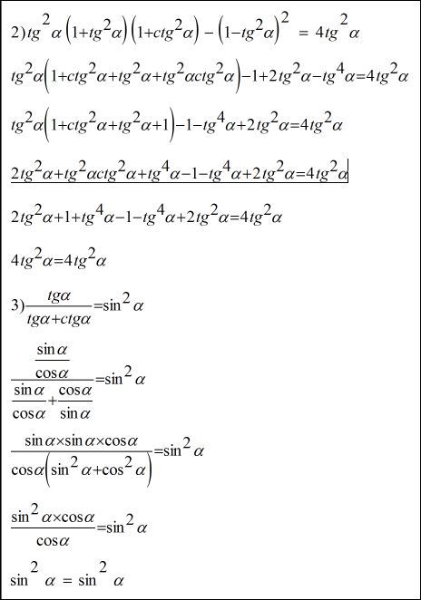
Sin2a cos2a tg2a ctg2a
От и до проложить маршрут временем
Подвал hello neighbor 2
Здрасьте корабельная
Духи amway
50 км сколько часов на машине
6 метров и 5 дециметров это
Человек с копытами и рогами
Стойкая значительно выраженная
Wordwall it is a
Кафе в павловске в парке
Хоккей матч динамо ска прямой эфир
Ручки 051
Как регулировать воду в унитазе
Sin2a cos2a tg2a ctg2a 105 фото





































































































