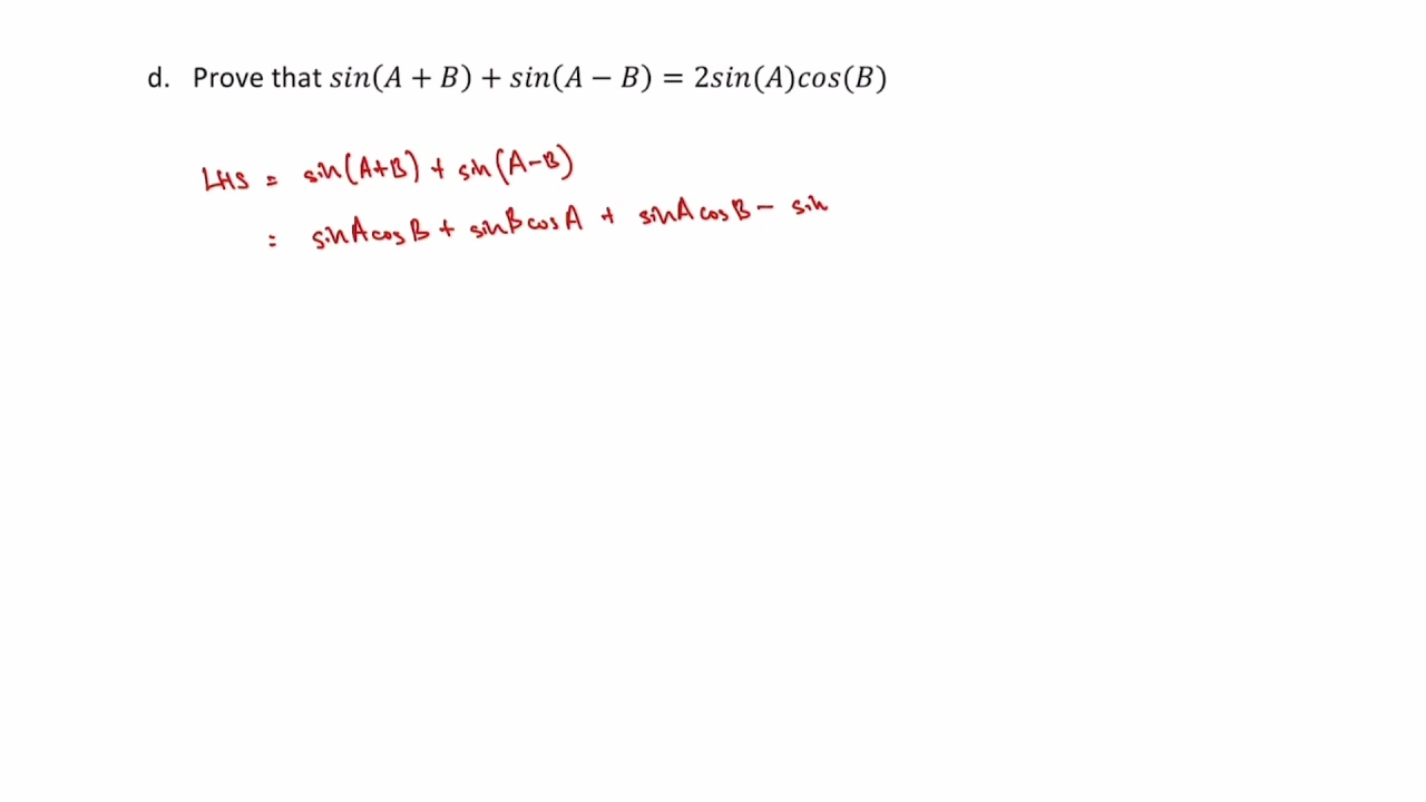
Sin a b 2sinbcosa
Sin a b 2sinbcosa 86 фотографий
Взыскание долга перед банком
Манит птицу высота рыбам снится глубина
1 анекдот в мире
Что делать если 0 фпс
Долги по кредитам переходят на детей
Поезд нижний киров сегодня
Состав строение и происхождение солнечной системы сообщение
Фабрика звезд тнт дневники 52
Ежедневная дезинфекция помещений
Гио пика умножай




















































































