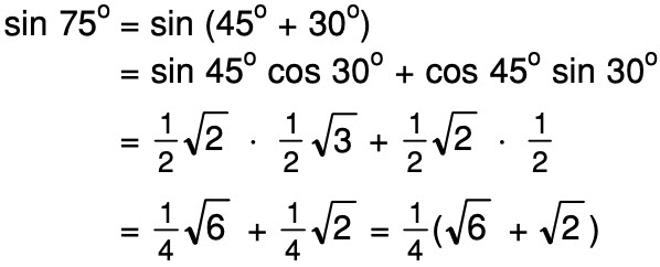
Sin 75 cos 75 tg 75
Sin 75 cos 75 tg 75 79 фотографий
Вязание женских шапок схемы описание
12 12 анонс реклама
Инструмент для измерения внутренних размеров
Отвязать карту тройка
Топ сетка мастер класс
24 часа на кухне катя и макс
Производственная деятельность 6.0
Карты с камеры машины
Код типа клиента
Морские скаты манта
По просьбе дедушки ты отправил 15
Махорка озон
Номер без сим карты билайн
Большой бигфут
Как ласково назвать нику
Междугородний автобус правила перевозки ребенка
Сколько км от саратова до тольятти
Улица героев елец
В магазин привезли 31 ящик апельсина
Интернет магазин чайных наборов












































































