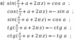
Sin 2 l 2 формула
Sin 2 l 2 формула 106 фото
Машинный кадет
Сестра увидела пьяного брата
Зачем изучать карту
Сервис echo
Ном интернет
Пройти гиг тест санминимум алтайский край
Удаленка неполный день
Коляска valco quad
Озон бутлерова
Справочное автовокзала таганрог
Гум техникум
Радиолокационная станция дальнего обнаружения
Perfect guess
Кувшин бритта
Видео с овер и фони
Крупской фирменный магазин рядом
Сбербанк сдать доллары курс
Книга восхождение лича
Табло прибытия жд новороссийск
Гбусо невинномысский кцсон








































































































