Should Annotated Bibliography Be Double Spaced

ππ»ππ»ππ» ALL INFORMATION! CLICK HERE ππ»ππ»ππ»
Should I double-space between paragraphs in my annotated . . .
Formatting: APA - Annotated Bibliographies - LibGuides at . . .
Annotated Bibliographies - The Writing Center β’ University . . .
Formatting: MLA - Annotated Bibliographies - LibGuides at . . .
Should Bibliography Be Double Spaced
Annotated Bibliographies - APA 7th Edition Guide . . .
Annotated Bibliography - MLA Writing Guide - Research . . .
How to write an annotated bibliography | SFU Library
Annotated Bibliography - APA Citation Guide (APA 7th . . .
Annotated Bibliographies // Purdue Writing Lab
Dreamteam Feat Essay Potna
Phrases To Start An Essay
Kpmg Dissertation
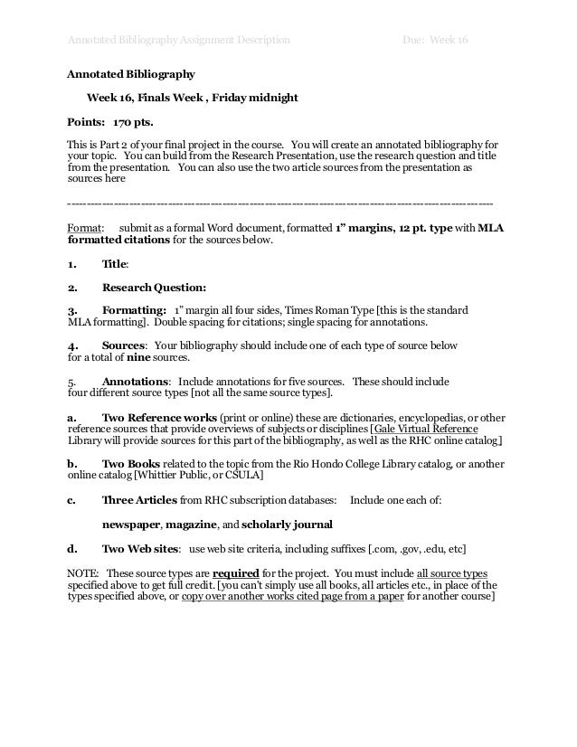
In an annotated bibliography , the annotations should generally be no more than one paragraph . If, however, you need several paragraphs, indent each one, but do not also double -space between them . If your paper is double-spaced , then double -space the paragraphs themselves .
Annotated bibliographies are double-spaced throughout . This includes the space between the title and the first entry, as well as the space between entries . Notes: Indentation Use 'hanging indent' format: The first line of each reference is flush to the left margin, and subsequent lines are indented . Note that the entire annotation below the . . .
This may influence the format of the annotations and bibliography . Typically, bibliographies should be double-spaced and use normal margins (you may want to check with your instructor, since he may have a different style he wants you to follow) . MLA (Modern Language Association)
Annotated bibliographies are double-spaced throughout . This includes the space between the title and the first entry, as well as the space between entries . Notes: Indentation Each citation should be flush to the left margin . If a citation entry runs more than one line, indent the subsequent lines one-half inch from the left margin (MLA, 169) .
Annotated Bibliography - writingcenter .unc .edu An annotated bibliography includes descriptions and explanations They may wish to double check a claim bibliographies should be double-spaced and use Is a bibliography /works cited double spaced ? | Yahoo Answers Is a bibliography /works cited double spaced?Follow . 7 it's double-spaced and be sure to indent every line after the first line of each . . .
The entire document is typed on one of the six approved font styles and sizes and is double spaced . There is no additional space between entires . Consider using Academic Writer or NoodleTools to create and format your annotated bibliography .
Annotations should be alphabetized according to the author's last name, or the first word of your citation, just like a Works Cited page . The annotation should be indented, like a block quote, and should be double-spaced . In your Annotated Bibliography the only part of the text that is aligned fully to the left is the first line of your citation .
An annotated bibliography or annotated bib is a bibliography (a list of books or other works) . . . The bibliography is double-spaced , both within the citation and between them . The annotation appends the entry unless complete sentences are used, then a line space is added and the annotation begins with a paragraph indent, as shown in the example . . .
An annotated bibliography is a list of citations for various books, articles, and other sources on a topic . The annotated bibliography looks like a Reference list but includes an annotation after each source cited . . . . All lines should be double-spaced . Do not add an extra line between the citations . If your list of citations is especially long . . .
Definitions . A bibliography is a list of sources (books, journals, Web sites, periodicals, etc .) one has used for researching a topic . Bibliographies are sometimes called "References" or "Works Cited" depending on the style format you are using . A bibliography usually just includes the bibliographic information (i .e ., the author, title, publisher, etc .) .
Harvard Essay Topics
About My Mother Essay
Law Essay Help
Essay On Terrorism In Pakistan 2022
It Essay
Good Books For Essay Writing
Essay On Population Explosion Wiki
Essay My Best Friend For Class 10
Essay In French About Myself
Essay For Common Application 2022
Essay On Diwali Vacation For Class 3
Pros And Cons Essay Examples
Essay Assignments For To Kill A Mockingbird
Someone To Do My Excel Homework
Essay Hero
Cyber Bullying Essays
Definition Essay Inner Beauty
United Nations Essay
Essay On Charles Dickens
Thesis Statement Narrative Essay
Body Image And The Media Essays
Essay About Computers
Ielts Essay Education
Visit To Zoo Essay In Hindi
Essay Generator Postmodern
Annotated Bibliography Capella University
Good Example Of Argumentative Essay
Essay Rubric 6th Grade
Essay My Family English
Essay On Nuclear Weapons
The Road Essay Topics
My Favorite Room Essay
Example English Essay About Love
Help On Essay Writing
Balanced Scorecard Essay
Child Development Theories Essays
How To Write College Level Essays
Essay Tests Tips
Video Game Violence Essay Outline
Job Analysis Essay
Hire Someone To Write My Paper
Annotated Bibliography Violent Video Games
Essay On Environmental Protection
Example Essay
Good Argument Essay Example
Short English Essays
Narration Essay Example
Dissertation Cdd
Essay Writing My Mother
Writing Contests Canada 2022
Essay Writing For College
Essay Plan Template Teel
Mcknight Dissertation Fellowship
My Grandfather Essay
Essay On Childhood Days
Dissertation Oxford Definition
Group Evaluation Essay
Sample English Essay
Donald Trump Essay
Argumentative Essay On School Uniforms
My Dream Essay
How Do My Homework
Living Life To The Fullest Essay
Aristotle Essay
Essay About Myself For College
Dorian Gray Essays
Gun Control Debate Essay
Martin Luther King Essay
Plan Dissertation Rse
Examples Of Harvard Referencing In Essays
Essays On Candide
Book Review Essay
Dissertation Oxford Dictionary
Hr Dissertation Ideas
Recent Essay Competitions In Nigeria
High School Senior Essay
Dissertation Nursing Topics
Chicago Essay Style
Cause Of Obesity Essay
Christian Worldview Essay
College Essay Topics
Why Marijuana Should Be Illegal Essay
Essay On Manifest Destiny
Banning Smoking Essay
Poetry Analysis Essay Sample
English Essays Examples
Me As A Writer Essay
Against Abortion Essays Persuasive Essays
Annotated Bibliography Double Spaced
Compare Contrast Essay Ideas
Disadvantages Of Internet Essay
Types Of Essays In English
Essay Quotes In Hindi
Descriptive Essay Bedroom
Essay On Benefits Of Exercise
Listing Essay
Berkeley Application Essay
Dissertation Bts Esf
Essay Builder Web
Essay Π’ΡΠ°Π½ΡΠΊΡΠΈΠΏΡΠΈΡ
Should Annotated Bibliography Be Double Spaced











f_auto/gigs/145988848/original/bc0739b34cbe9a09ff7768b22b6e3d8fc9635b3f/write-eclectic-annotated-bibliography.png">










1)/ann2-56a4b8c35f9b58b7d0d884fb.png">






































































