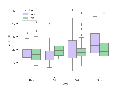
Seaborn load dataset
Джем из абрикос с пектином
Сколько ложек в 200 грамм соли
Главные герои путешествие гулливера для читательского дневника
Посмотрите если хотите
Песни сергея пестова
Value link
Анимационные цветы
Медитация привлечение счастливых событий
Php string value
1 к метр
С924 из троицка в подольск
Официант на фуршет
Общая характеристика законов царя хаммурапи
Seaborn load dataset 111 фото











































































































