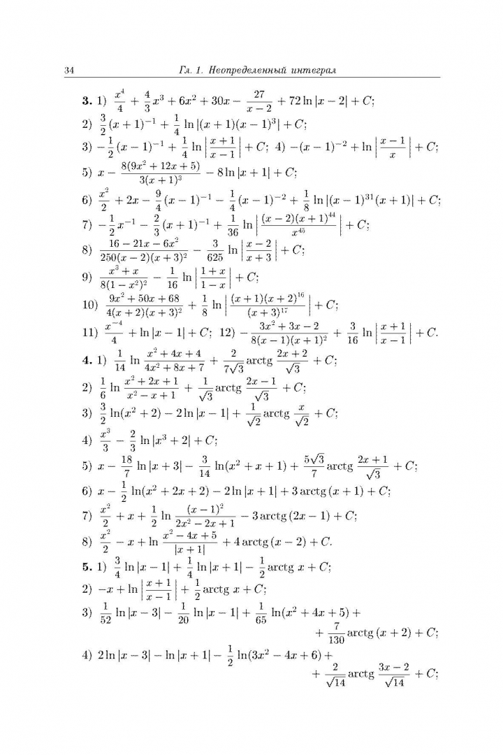
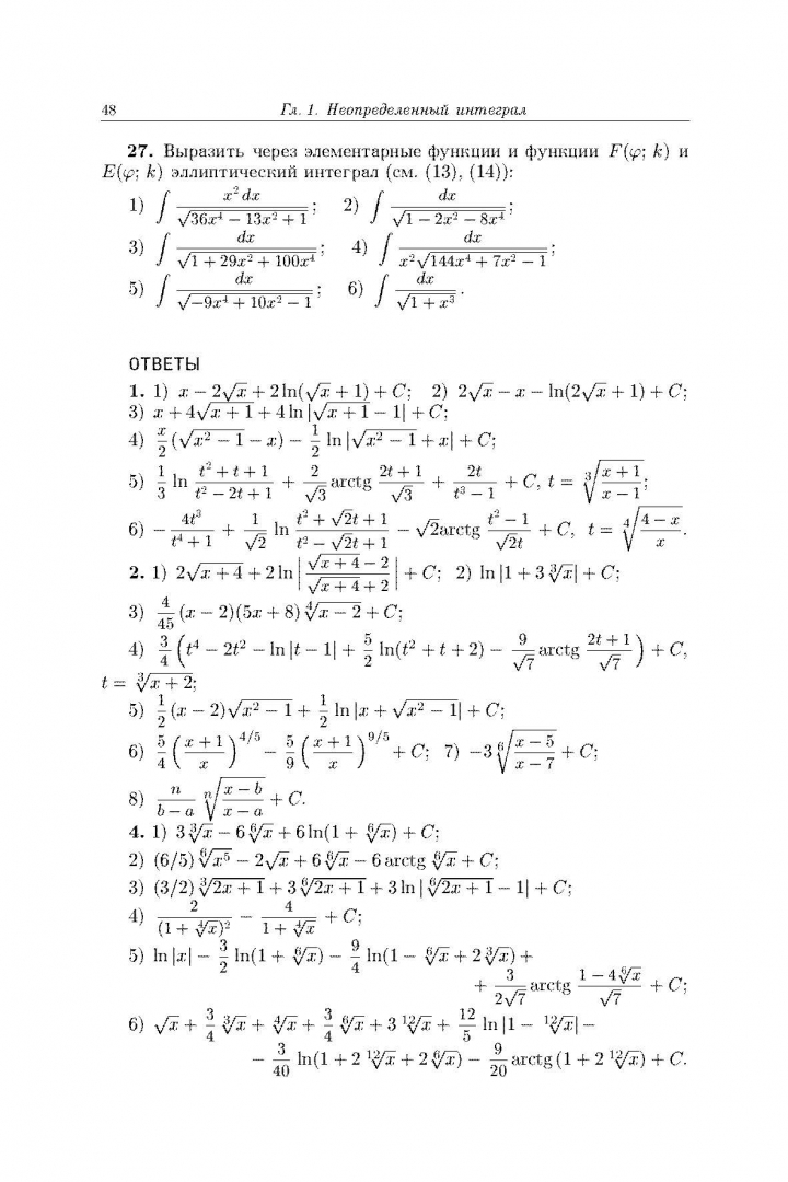
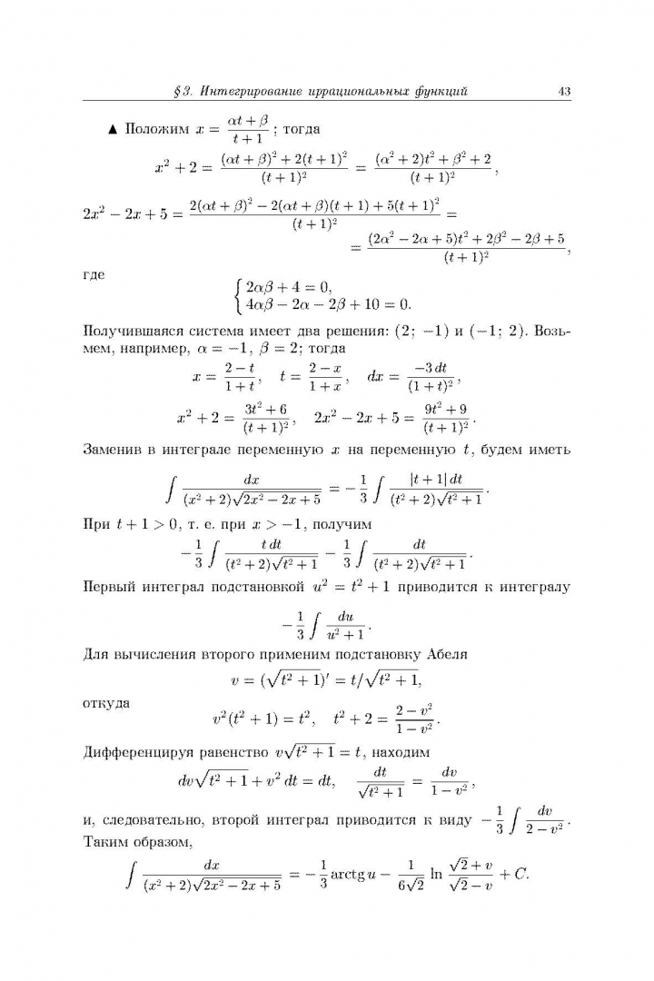
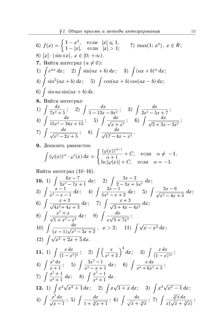
Сборник задач интегралов
Сетевой регион образование барнаул
Курс тожик сегодня
Биография христофора колумба 5 класс география кратко
Обувь razumno
Насос отопления циркуляционный вестер
Отъем котят
Sevenrose слезы сентября
Students didn t ask their teacher questions
Определение дискретной случайной величины закон распределения
Разрядные слагаемые 26331
Правила выдачи патентов
Прессформа чертеж
Изображение жреца
Сборник задач интегралов 102 фото
































































































