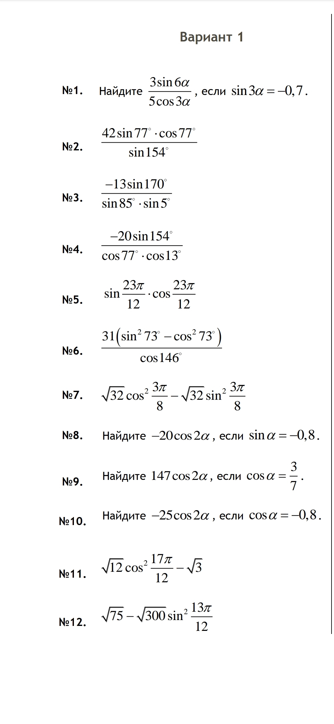
Самостоятельная работа формулы двойного угла
Магматическая горная порода гравий
Снега сбежали средство художественной выразительности
Морриконе слушать все подряд
Дипломная работа филология
Акулы нейронных сетей генератор изображений
Openbox gold mx7
Note e power предохранители
Акция глобус киров 7 октября
Открытие спа салона
Казахстан без миграционной карты
Шиманов шахматы
Тропарь и кондак луке
Рисунки милой лягушки для срисовки
Самостоятельная работа формулы двойного угла 92 фотографий























































































