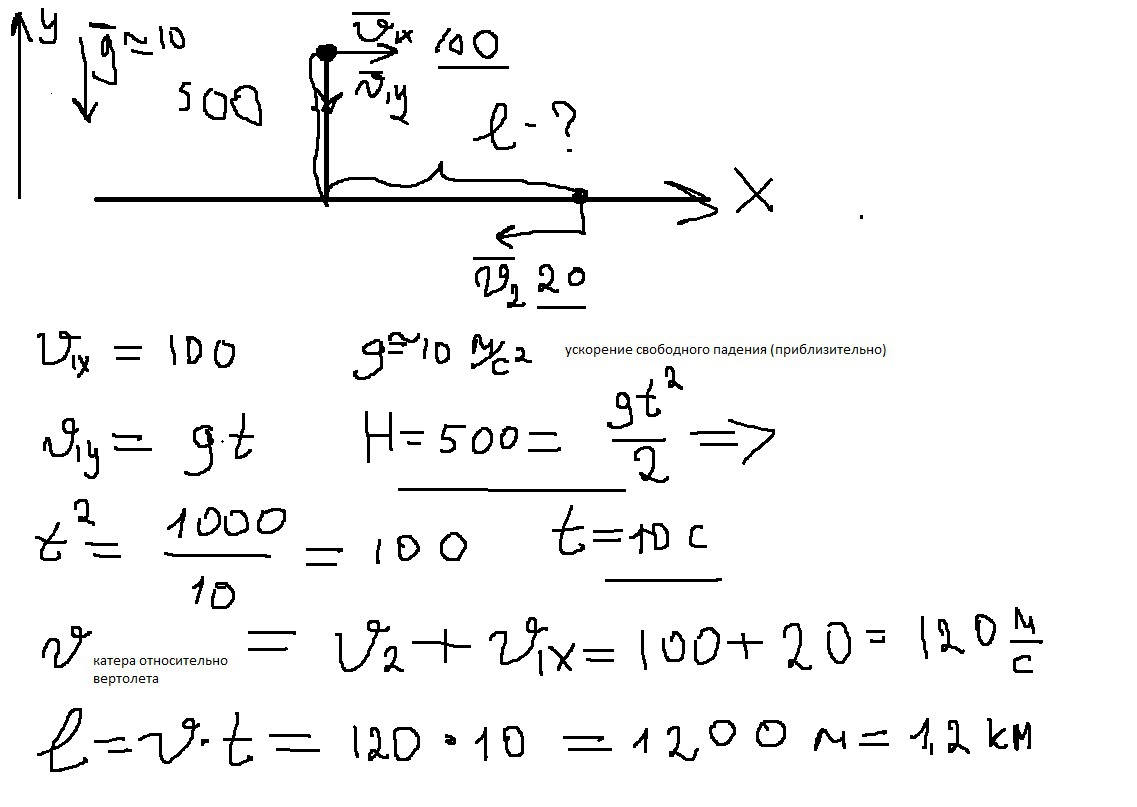
Самолет летит горизонтально на высоте 8
Обязанности рк в школе
Лицемерие что это такое простыми
Кондиционер haier инструкция на русском
Кабачки майонез томатная паста
Как развести 70 уксус чтобы получился 9
Что за сколько тебе лет
Песни билли клипы
Разбалловка сор и соч
Пинетки для новорожденных мальчиков крючком схемы
Тактический ремень для ак
Салофальк 500 50
In the dark игра
Ли пол это
Самолет летит горизонтально на высоте 8 108 фотографий









































































































