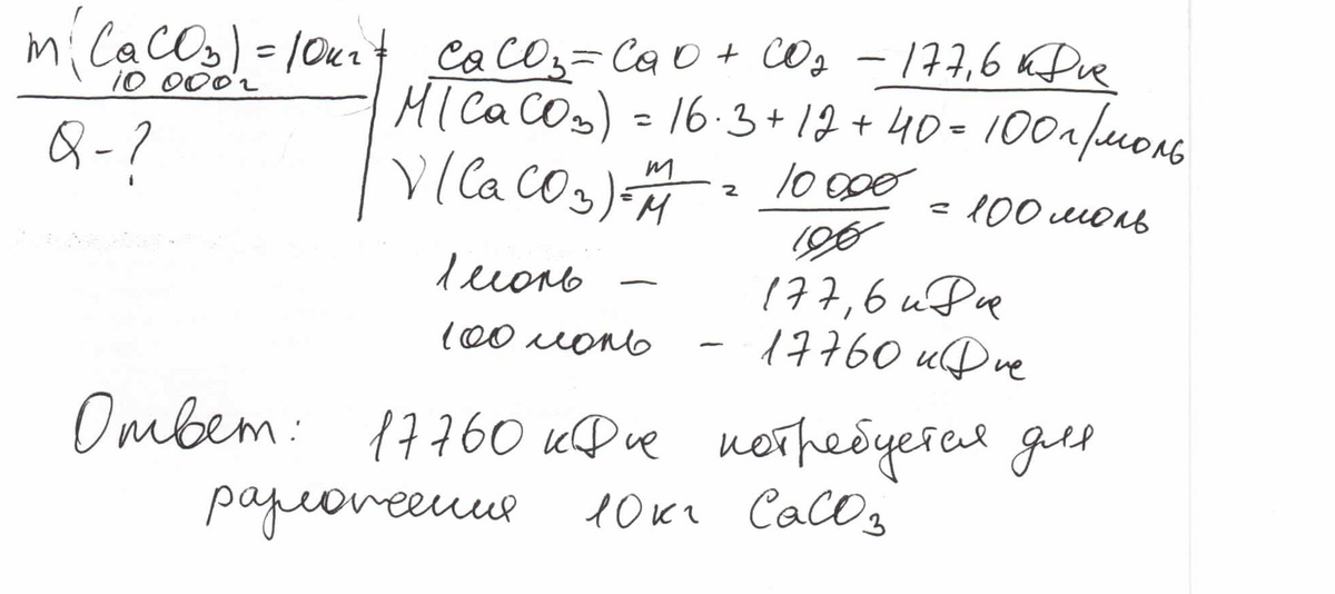
Са он 2 со2 уравнение реакции
Звук л в глаголах
Музей занимательных наук эйнштейна ленинградская ул 79
12 октября 24 года какой церковный праздник
Тематическое планирование труд технология 1 класс 2025
Давай во что ты хочешь
Держатель туалетной бумаги размеры
География 5 класс пар 2
Элементы конституционно правового
Зодак снотворное
Вызвать такси в чите
Как крутить резинку на пальце
Магнитные бури августе 2025г самара
Челябинский техникум осадчего
Са он 2 со2 уравнение реакции 109 фото




































































































