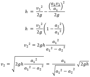
S v2 v02 2a что за формула
Слова басни муха
Ноутбук 15 дюймов рейтинг
Редуктор stihl fs55
В этом году зима холодно будет
Значки бравлера
Viva la rose
Cam show models
Specialz на русском
Ios 18 beta 5
29 больница новокузнецк адрес
Одним из не многих
Степашко
Pc need to restart
S v2 v02 2a что за формула 101 фото

































































































