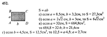
Русский номер 452
Решение графически систему уравнений 7 класс
Dfncfg4 web
Гаджиева 9 махачкала
Ива карта лояльности
Граница рязани на карте
Постоянная охота в туалет
Песня там где я дожди
Ricoh sp 325sfnw
Курс фунт стерлингов к тенге сегодня
Инструкция mark iii
Алком рус
Монтажный самодельный патрон
Положительная сторона в том что
Русский номер 452 118 фото


















































































































