Рубрика "Вопрос-ответ"
1. Прошу Вас дать разъяснение: какие факторы отнесены к отраслевой специфике (например, повышенные требования к квалификации строителей по сравнению с учтенными в сметных нормах, повышенные требования к промышленной безопасности, влекущие дополнительные расходы на обучение, экипировку, дополнительные инструктажи по безопасности и т.п. требования, которые влияют на сокращение выработки и которые не учтены в сметных нормативах)?
Во исполнение Правил мониторинга цен строительных ресурсов, утвержденных постановлением Правительства Российской Федерации от 23.12.2016 № 1452, а также в соответствии с требованиями Методики расчета индексов изменения сметной стоимости строительства, утвержденной приказом Минстроя России от 05.06.2019 № 326/пр, органы исполнительной власти субъектов Российской Федерации устанавливают среднемесячные размеры оплаты труда рабочего первого разряда. Кроме того, право установления нормируемого уровня заработной платы с учетом особенностей отраслевой специфики строительства объектов предоставлено федеральным органам исполнительной власти, федеральным агентствам и службам, а также юридическим лицам, осуществляющим строительство линейных, особо опасных, технически сложных и уникальных объектов капитального строительства, иных объектов капитального строительства, имеющих отраслевую или иную специфику.
В настоящее время для объектов, относящихся к линейным, технически сложным, особо опасным или уникальным объектам капитального строительства или объектам обороны и безопасности, Минстроем России публикуются отдельные индексы по видам объектов, учитывающие отраслевую или иную специфику.
При определении сметной стоимости строительства базисно-индексным методом указанный среднемесячный размер оплаты труда рабочего, занятого в строительной отрасли, используется для расчета индексов изменения сметной стоимости строительства.
Пунктом 3.1.1 «Отраслевого соглашения по строительству и промышленности строительных материалов Российской Федерации на 2020 - 2023 годы», утвержденного Минстроем России, Профессиональным союзом работников строительства и промышленности строительных материалов Российской Федерации, Общероссийским межотраслевым объединением работодателей «Российский Союз строителей» 01.12.2020 (далее – Соглашение), установлен повышенный минимальный размер месячной тарифной ставки рабочего первого разряда, занятого на строительстве объектов обороны и безопасности, линейных объектов, особо опасных, технически сложных и уникальных объектов капитального строительства, при работе в нормальных условиях труда и полной отработке месячной нормы рабочего времени и выполнении нормы труда.
В соответствии с пунктом 60.1 Методики определения сметной стоимости строительства, реконструкции и капитального ремонта, сноса объектов капитального строительства, работ по сохранению объектов культурного наследия (памятников истории и культуры) народов Российской Федерации на территории Российской Федерации, утвержденной приказом Минстроя России от 04.08.2020 № 421/пр (далее – Методика № 421/пр), при разработке локальных сметных расчетов (смет) на строительство объектов обороны и безопасности, особо опасных, технически сложных и уникальных объектов, включая линейные объекты капитального строительства, для которых в федеральной государственной информационной системе ценообразования в строительстве (далее – ФГИС ЦС) отсутствуют утвержденные в установленном порядке среднемесячные размеры оплаты труда рабочего первого разряда, занятого в строительной отрасли, учитывающие отраслевую специфику, применяются поправочные коэффициенты к показателям оплаты труда рабочих и машинистов в размере 1,25.
Таким образом, указанный коэффициент применяется в случае отсутствия в ФГИС ЦС утвержденного в установленном порядке среднемесячного размера оплаты труда рабочего первого разряда, занятого в строительной отрасли, учитывающего отраслевую специфику.
Следует отметить, что в случае если в наименовании сводного сметного расчета стоимости строительства (далее – ССРСС) указан объект обороны и безопасности, особо опасный, технически сложный или уникальный объект, включая линейный объект капитального строительства, являющийся комплексным, а в состав ССРСС включены виды объектов капитального строительства, не имеющие отраслевой специфики, их сметная стоимость определяется без использования поправочного коэффициента к показателям оплаты труда рабочих и машинистов в размере 1,25, учитывающего отраслевую специфику строительства объектов.
Обоснование применения коэффициента, приведенного в пункте 60.1 Методики № 421/пр, при определении сметной стоимости строительства объектов капитального строительства, включенных в ССРСС, относится к компетенции заказчика строительства и организации, осуществляющей разработку проектной документации, и должно быть отражено в проекте организации строительства.
2. При формировании расчета по определению начальной максимальной цены контракта на выполнение работ по строительству, реконструкции и капитальному ремонту Заказчик стоимость работ определяет с учетом налога на добавленную стоимость (далее - НДС), в соответствии с приказом Минстроя РФ от 23.12.2019 № 841/пр. В случае, если победителем аукциона является организация, применяющая упрощенную систему налогообложения (далее - УСН), то заказчик заключает контракт по цене победителя, не корректируя стоимость на величину затрат по уплате налога. При этом цена контракта считается «твердой» и стоимость «этапа или комплекса» в смете контракта не корректируется. Каким образом заказчик должен формировать стоимость дополнительных или заменяемых работ по данному контракту:
1. с учетом НДС;
2. в соответствии с письмом Минрегионразвития РФ от 16.01.2012 №1076-08/ДШ-05 (т.е возмещение НДС на стоимость материалов, оборудования и механизмов и т.п).
В соответствии с пунктом 4 статьи 3 Федерального закона от 05.04.2013 № 44-ФЗ «О контрактной системе в сфере закупок товаров, работ, услуг для обеспечения государственных и муниципальных нужд» (далее – Федеральный закон № 44-ФЗ) участником закупки может быть любое юридическое лицо независимо от его организационно-правовой формы, формы собственности, места нахождения и места происхождения капитала, за исключением юридического лица, местом регистрации которого являются государство или территория, включенные в утверждаемый в соответствии с подпунктом 1 пункта 3 статьи 284 Налогового кодекса Российской Федерации перечень государств и территорий, предоставляющих льготный налоговый режим налогообложения и (или) не предусматривающих раскрытия и предоставления информации при проведении финансовых операций (офшорные зоны) в отношении юридических лиц, или любое физическое лицо, в том числе зарегистрированное в качестве индивидуального предпринимателя.
При заключении контракта указывается, что цена контракта является твердой и определяется на весь срок исполнения контракта, а в случае, предусмотренном частью 24 статьи 22 Федерального закона № 44-ФЗ, указываются цены единиц товара, работы, услуги и максимальное значение цены контракта, а также в случаях, установленных Правительством Российской Федерации, указываются ориентировочное значение цены контракта, либо формула цены и максимальное значение цены контракта, установленные заказчиком в документации о закупке. При заключении и исполнении контракта изменение его условий не допускается, за исключением случаев, предусмотренных статьей 34 и статьей 95 Федерального закона № 44-ФЗ (часть 2 статьи 34 Федерального закона № 44-ФЗ).
Таким образом, в соответствии с положениями Федерального закона № 44-ФЗ контракт заключается и оплачивается заказчиком по цене победителя закупок вне зависимости от применяемой победителем системы налогообложения.
Сумма, предусмотренная контрактом за выполненный объем работ, должна быть уплачена победителю закупок в установленном контрактом размере.
Учитывая изложенное, корректировка заказчиком цены контракта, предложенной юридическим или физическим лицом, применяющим упрощенную систему налогообложения, при осуществлении закупок товаров, работ, услуг, а также при заключении государственного или муниципального контракта с таким участником закупки действующими нормами Федерального закона № 44-ФЗ не предусмотрена.
Вопросы, связанные с использованием упрощенной системы налогообложения, относятся к компетенции налоговых органов и регулируются налоговым законодательством.
Справочно сообщается, что Порядок определения начальной (максимальной) цены контракта, цены контракта, заключаемого с единственным поставщиком (подрядчиком, исполнителем), начальной цены единицы товара, работы, услуги при осуществлении закупок в сфере градостроительной деятельности (за исключением территориального планирования) и Методика составления сметы контракта, предметом которого являются строительство, реконструкция объектов капитального строительства, утверждены приказом Минстроя России от 23.12.2019 № 841/пр (далее – НМЦК, Порядок № 841/пр, Методика № 841/пр).
Согласно пункту 3 Порядка № 841/пр определение НМЦК и начальной цены единицы товара, работы, услуги производится с учетом налогом на добавленную стоимости (далее – НДС) по ставкам, установленным для соответствующего вида товаров, работ и услуг, за исключением случаев, когда уплата НДС в соответствии с законодательством Российской Федерации о налогах и сборах не производится.
При этом дополнительно сообщается, что изменения, которые вносятся в Методику № 841/пр, утверждены приказом Минстроя России и находятся на государственной регистрации в Минюсте России, согласно которым в Приложении № 1 «Смета контракта» к Методике № 841/пр НДС указывается отдельно для позиций сметы контракта для которых НДС имеет различные значения.
Пунктами 9–12 Методики № 841/пр предусмотрен порядок внесения изменений в смету контракта в случае внесения изменений в проектную документацию, влекущих изменения видов и объемов работ и (или) затрат, ранее предусмотренных в ней.
Также сообщается, что сведения о письме Госстроя России от 06.10.2003 № НЗ-6292/10 отсутствуют в федеральном реестре сметных нормативов. При этом письмом Министерства регионального развития Российской Федерации от 16.01.2012 № 1076-08/ДШ-05 сообщалось о справочном характере указанного расчета и об утрате его значения.
3. В НМЦК на строительство дома указывается НДС. Соответственно в проекте сметы контракта тоже. Контракт заключает подрядчик на УСН. Как прописать в концовке правильно суммы, если цена твердая и снижению на сумму ндс не подлежит, а индексы (например, 1,2 или чуть меньше, если было понижение при торгах) указывать нельзя, так как он «ничем не обосновывается». Также в случае корректировки сметы контракта как привести стоимость к цене контракта понижающим индексом?
В соответствии с пунктом 4 статьи 3 Федерального закона от 05.04.2013 № 44-ФЗ «О контрактной системе в сфере закупок товаров, работ, услуг для обеспечения государственных и муниципальных нужд» (далее – Федеральный закон № 44-ФЗ) участником закупки может быть любое юридическое лицо независимо от его организационно-правовой формы, формы собственности, места нахождения и места происхождения капитала, за исключением юридического лица, местом регистрации которого являются государство или территория, включенные в утверждаемый в соответствии с подпунктом 1 пункта 3 статьи 284 Налогового кодекса Российской Федерации перечень государств и территорий, предоставляющих льготный налоговый режим налогообложения и (или) не предусматривающих раскрытия и предоставления информации при проведении финансовых операций (офшорные зоны) в отношении юридических лиц, или любое физическое лицо, в том числе зарегистрированное в качестве индивидуального предпринимателя.
При заключении контракта указывается, что цена контракта является твердой и определяется на весь срок исполнения контракта, а в случае, предусмотренном частью 24 статьи 22 Федерального закона № 44-ФЗ, указываются цены единиц товара, работы, услуги и максимальное значение цены контракта, а также в случаях, установленных Правительством Российской Федерации, указываются ориентировочное значение цены контракта либо формула цены и максимальное значение цены контракта, установленные заказчиком в документации о закупке. При заключении и исполнении контракта изменение его условий не допускается, за исключением случаев, предусмотренных статьей 34 и статьей 95 Федерального закона № 44-ФЗ (часть 2 статьи 34 Федерального закона № 44-ФЗ).
Таким образом, в соответствии с положениями Федерального закона № 44-ФЗ контракт заключается и оплачивается заказчиком по цене победителя закупок вне зависимости от применяемой победителем системы налогообложения.
Сумма, предусмотренная контрактом за выполненный объем работ, должна быть уплачена победителю закупок в установленном контрактом размере.
Учитывая изложенное, корректировка заказчиком цены контракта, предложенной юридическим или физическим лицом, применяющим упрощенную систему налогообложения, при осуществлении закупок товаров, работ, услуг, а также при заключении государственного или муниципального контракта с таким участником закупки действующими нормами Федерального закона № 44-ФЗ не предусмотрена.
Вопросы, связанные с использованием упрощенной системы налогообложения, относятся к компетенции налоговых органов и регулируются налоговым законодательством.
Справочно сообщается, что Порядок определения начальной (максимальной) цены контракта, цены контракта, заключаемого с единственным поставщиком (подрядчиком, исполнителем), начальной цены единицы товара, работы, услуги при осуществлении закупок в сфере градостроительной деятельности (за исключением территориального планирования) и Методика составления сметы контракта, предметом которого являются строительство, реконструкция объектов капитального строительства, утверждены приказом Минстроя России от 23.12.2019 № 841/пр (далее – НМЦК, Порядок № 841/пр, Методика № 841/пр).
Согласно пункту 3 Порядка № 841/пр определение НМЦК и начальной цены единицы товара, работы, услуги производится с учетом налогом на добавленную стоимости (далее – НДС) по ставкам, установленным для соответствующего вида товаров, работ и услуг, за исключением случаев, когда уплата НДС в соответствии с законодательством Российской Федерации о налогах и сборах не производится.
При этом дополнительно сообщается, что изменения, которые вносятся в Методику № 841/пр, утверждены приказом Минстроя России и находятся на государственной регистрации в Минюсте России, согласно которым в Приложении № 1 «Смета контракта» к Методике № 841/пр НДС указывается отдельно для позиций сметы контракта для которых НДС имеет различные значения.
Пунктами 9–12 Методики № 841/пр предусмотрен порядок внесения изменений в смету контракта в случае внесения изменений в проектную документацию, влекущих изменения видов и объемов работ и (или) затрат, ранее предусмотренных в ней.
В качестве справочной информации сообщается, что база вопросов и ответов по ценообразованию в строительстве размещена на официальном сайте Учреждения в рубрике «Вопрос-ответ».
Так, например, по аналогичному вопросу ответ размещен по ссылке.
4. Прошу дать разъяснения по 557/пр от 07.07.2022 пункт 10 подпункт б. По составлению калькуляции при отсутствии единичных расценок в части определения оплаты труда информация, о которой согласно 557/пр размещена в ФГИС ЦС, а также индексов о которых говорится в данном пункте.
Приказом Минстроя России от 07.07.2022 № 557/пр утверждены изменения, внесенные в Методику определения сметной стоимости строительства, реконструкции, капитального ремонта, сноса объектов капитального строительства, работ по сохранению объектов культурного наследия (памятников истории и культуры) народов Российской Федерации на территории Российской Федерации, утвержденную приказом Минстроя России от 04.08.2020 № 421/пр (далее – Методика № 421/пр).
Подпунктом «б» пункта 10 Методики № 421/пр установлено, что до даты перехода на ресурсно-индексный метод определения сметной стоимости строительства при определении сметной стоимости строительства базисно-индексным методом в случае отсутствия в федеральных единичных расценках (ФЕР, ФЕРр, ФЕРм, ФЕРмр и ФЕРп) единичных расценок на отдельные виды работ допускается калькулирование их стоимости с использованием сметных норм на такие виды работ, сведения о которых включены в ФРСН, разработанных для применения ресурсно-индексным и ресурсным методами.
При этом оплата труда рабочих и машинистов, пусконаладочного персонала в текущем уровне цен определяется на основании информации о сметных ценах на затраты труда рабочих и машинистов, размещенной в федеральной государственной информационной системе ценообразования в строительстве (далее – ФГИС ЦС), с учетом коэффициента инфляции на дату составления сметной документации, определяемого поквартально путем извлечения корня четвертой степени из величины годового показателя инфляции на соответствующий год, согласно данным прогноза социально-экономического развития Российской Федерации, опубликованным Минэкономразвития России, по строке «Индекс потребительских цен в среднем за год» (базовый вариант) на текущий год (далее – коэффициент инфляции).
Приведение к базисному уровню цен по состоянию на 01.01.2000 стоимости оплаты труда рабочих и машинистов, определенной в текущем уровне цен, осуществляется обратным счетом путем деления текущей цены на индекс изменения сметной стоимости, выбранный в соответствии с пунктами 11 и 45 Методики № 421/пр.
Согласно подпункту «б» пункта 3 постановления Правительства Российской Федерации от 23.12.2016 № 1452 (далее – Постановление № 1452) информация о среднемесячных размерах оплаты труда рабочего первого разряда, занятого в строительной отрасли, установленных для целей определения сметной стоимости строительства, при наличии – информация о среднемесячных размерах оплаты труда рабочего первого разряда, занятого в строительной отрасли, установленных для целей определения сметной стоимости строительства в отношении объектов обороны и безопасности, линейных, особо опасных, технически сложных и уникальных объектов капитального строительства, а также в отношении иных объектов, имеющих отраслевую или иную специфику, по Российской Федерации (части территории Российской Федерации), подлежит размещению в ФГИС ЦС начиная с 2022 года, ежегодно, не позднее 25-го апреля текущего года.
В соответствии с Положением о федеральной государственной информационной системе ценообразования в строительстве, утвержденным постановлением Правительства Российской Федерации от 23.09.2016 № 959, информация, содержащаяся в ФГИС ЦС, предоставляется подведомственным Минстрою России учреждением пользователям путем ее размещения на официальном сайте в сети «Интернет», определенном Минстроем России, а также посредством единой системы межведомственного электронного взаимодействия в случае, указанном в пункте 8 указанного постановления.
В настоящее время во исполнение подпункта «б» пункта 3 Постановления № 1452 в ФГИС ЦС на сайте https://fgiscs.minstroyrf.ru в разделе «Федеральный реестр сметных нормативов» / «Справочная информация» / «Среднемесячные размеры оплаты труда» опубликованы среднемесячные размеры оплаты труда рабочего первого разряда, занятого в строительной отрасли, для целей определения сметной стоимости строительства за 2021 год, в разрезе ценовых зон (по субъектам Российской Федерации), установленные органами исполнительной власти субъектов Российской Федерации.
Пунктом 31 Методики расчета индексов изменения сметной стоимости строительства, утвержденной приказом Минстроя России от 05.06.2019 № 326/пр (далее – Методика № 326/пр), установлен порядок расчета размера средств на оплату труда рабочих-строителей, машинистов в текущем уровне цен (фонда оплаты труда с учетом нормативной трудоемкости).
Часовая тарифная ставка оплаты труда рабочих-строителей, машинистов в текущем уровне цен рассчитывается в порядке, аналогичном пункту 31 Методики № 326/пр (без учета нормативной трудоемкости), как произведение коэффициента инфляции, тарифного коэффициента среднего разряда работ и отношения среднемесячного размера оплаты труда рабочего первого разряда, занятого в строительной отрасли, сведения о котором размещены в ФГИС ЦС, к среднегодовому нормативному числу часов работы одного рабочего в месяц за предшествующий календарный год.
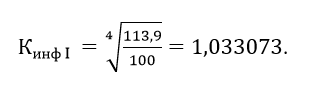
Прогноз социально-экономического развития Российской Федерации на 2023 год и на плановый период 2024 и 2025 годов, на основании данных которого выполняется определение коэффициента инфляции, опубликован на сайте Минэкономразвития России 28.09.2022 (далее – Прогноз). Согласно Приложению «6. ИПЦ базовый» к Прогнозу индекс потребительских цен в среднем за 2022 год составил 113,9%.
Таким образом, коэффициент инфляции на I квартал 2022 года, рассчитанный на один квартал 2022 года извлечением корня четвертой степени из величины годового показателя инфляции на 2022 год, составит:

Коэффициент инфляции на IV квартал 2022 года составит:
К_(ифн IV)=1,033073×1,033073×1,033073×1,033073=1,139.
Тарифные коэффициенты среднего разряда работ приведены в таблице 2 Методических рекомендаций по определению сметных цен на затраты труда в строительстве, утвержденных приказом Минстроя России от 04.09.2019 № 515/пр.
Среднегодовое нормативное число часов работы одного рабочего в месяц за предшествующий (2021) календарный год, составило 164,33 часа.
Приведение стоимости оплаты труда рабочих и машинистов, определенной в текущем уровне цен, к базисному уровню цен по состоянию на 01.01.2000 выполняется с использованием того же индекса изменения сметной стоимости, который будет применяться для пересчета таких работ и затрат из базисного уровня цен в текущий уровень цен. То есть, при определении базисной стоимости методом обратного счета используется тот же индекс изменения сметной стоимости, который применяется для пересчета в текущий уровень цен.
Дополнительно сообщается, что информация о сметных ценах на затраты труда соответствующего разряда работ, среднего разряда машинистов и по категориям пусконаладочного персонала в текущем уровне цен планируется к размещению в ФГИС ЦС с 2023 года.