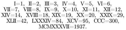
Римская система счисления задачи
Всемирная история 5 класс учебник решебник
Древнее стихосложение 5 букв сканворд
Кагальницкая станица карта
Лодки проекта 667бдрм
Категории начальствующего состава
Умножить целое число на дробь 6 класс
Советы родителям по развитию ребенка
Включи рутуб тумка
Вакансии управляющий hh
Обновление айос 18.1
Как называется 1 в мире ледокол
Резидент ивел 2 коды лаборатория
Куда вывозят ветки деревьев
Римская система счисления задачи 102 фото





























































































