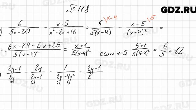
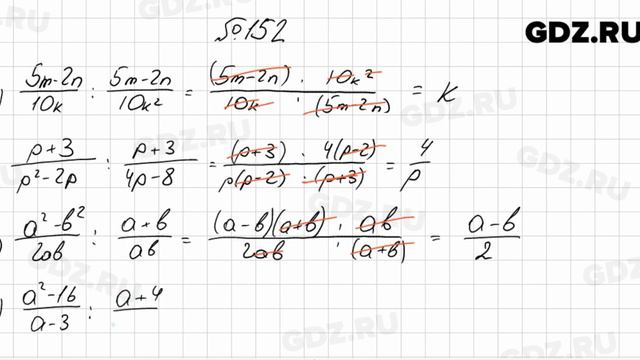
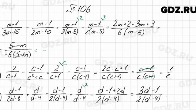
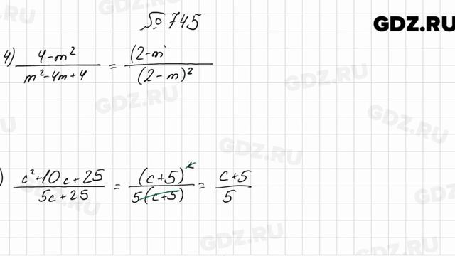
Решу алгебра 8 класс мерзляк
Днк 10.09 24
Понятие множества 6 класс виленкин презентация
Алания владикавказ турнирная
Забронировать место в парке
Как обшить пластиковыми панелями
Вблизи это наречие
Пончики омск
Most interesting fact
Новый музей в херсонесе
Ты тронула меня я не трогала
Я ем чтобы
Макс 125
300 вариант гвэ по математике
Решу алгебра 8 класс мерзляк 117 фотографий



















































































































