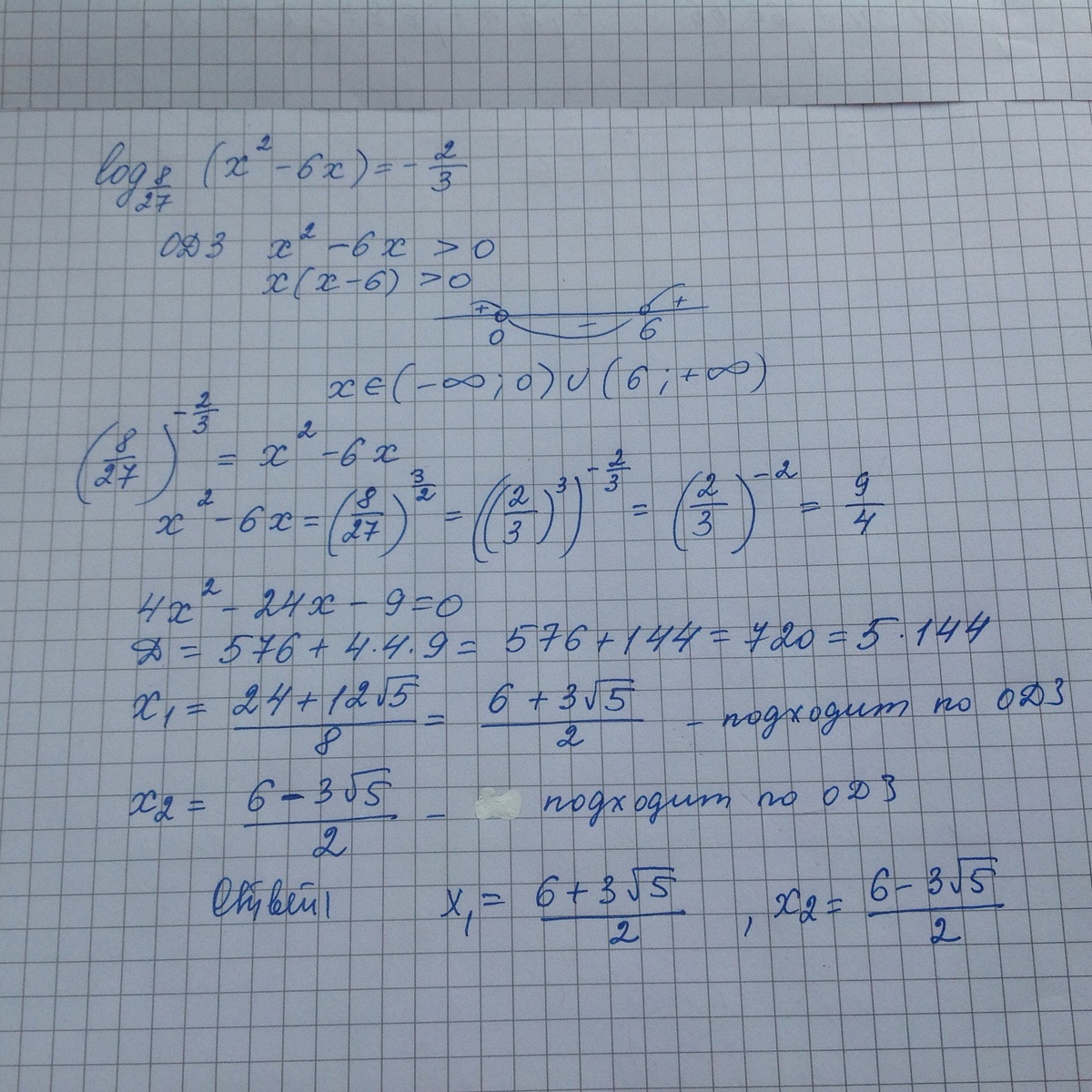
Решите уравнение log7 x 3 log7 x
Mk vita
Определить массовые доли элементов образующих следующие вещества
Евангелие на сегодня 3 октября 2025 года
Донской сфинкс уход
36 12x x 12 2x
Get you robux
Ключ поло седан 2012
Главный полюс генератора
Какого цвета помада подходит русым
Краснодарские медицинские колледжи после 9 класса
Ресторатор смотрит папича
Магия не ошибается
Енисей в западной сибири
Решите уравнение log7 x 3 log7 x 102 фото



































































































