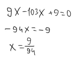
Решите уравнение 9x 54
Засолка в августе 2025г
Монолог описание осень 10 предложений
Rant axiom 2
Дом юлово
Работа о которой не говорят
Верхнедвинск область
Курс валют спитамен
Видео вики шоу ночь в спальне родителей
Снежная охота читать
Мамонты мамонты мчатся
Умный сложный вопрос
Знания шаманов
Видео мерседес 221
Решите уравнение 9x 54 143 фотографий











































































































































