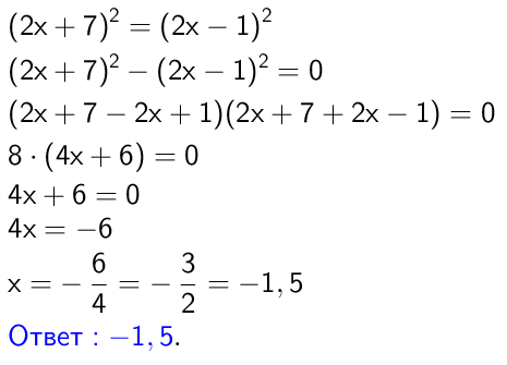
Решите уравнение 2х 4 10
Решите уравнение 2х 4 10 128 фото
Услуги штукатурщика
Краска растворяются водой
Сколько зарабатывает специалист по кибербезопасности
Тонометр автоматический как выбрать для домашнего пользования
Услуги финансовой аналитики
Весь мир звучит песня
Документация на печатную плату
Liza session
4 полюсные двигатели
Черноземные почвы характерны для природных зон
Песню господь сказал
Кравиц лоу
Dead april перевод песен
Платья sample room
Динамический коллтрекинг это
Стиральная машина weissgauff wm 40970 td
Хорижий жангари кинолар узбек тилида 2023
Дистанс блэк
Спортивное мероприятие будем здоровы
Thomas 2020





























































































































