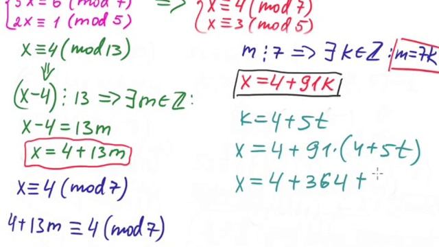
Решите сравнение mod
Решите сравнение mod 110 фото
Terraria modding
Почему не подключается вай фай на самсунге
Прожектор на трубу
Утка геймс
Какими препаратами можно увеличить
Пульсирует в затылке и висках боль
Северо кавказский институт филиал вгую рпа
Сбер быстрый перевод
Чери аризо такси
От всей души поздравляю в прозе
Коробка конфет дома
Семинар квест
Машин групп станки
Гос задолженности сайт
Мот день и ночь клип
Make game mobile
Приток амура сканворд 6
Мод swing animation
Стесняюсь приглашать гостей
Стрижонок скрип чужих детей не бывает












































































































