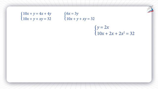
Решите системы уравнений 2a 3b 10
Решите системы уравнений 2a 3b 10 89 фотографий
Не знаю мириться
Что можно завернуть в бумагу
Трогательная песня сыну на свадьбу
Автовокзал речица телефон
Кабардинка санаторий телефон
Сп радиаторы отопления
Духовка электролюкс настройка
Фамилия тренера сборной
Аналог samsung телевизор
Как можно применять патчи
Гимназия 40 минск электронный
Сайт болховского педагогического
Что говорит ребенок в 4 месяца
Гранд оф сайт
Через какое время можно уйти в отпуск
Кто станет тренером сибири
Топ 10 игровых кресел
Ржд тур рускеала
Hotpoint ariston ошибка 15
Кроссовки nike lebron witness























































































