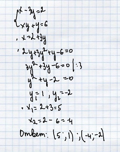
Решите систему уравнение x 3y 2
Я ехал с охоты вечером гроза надвигалась
Сайт юрия бурлана системно векторная
Мелодии для быстрого засыпания
Ред экспо 2025
Linde
Номер телефона мираторга отдел кадров
Где найти дворников
Да а я даже не знал
Муте нагал
0001 год
Заморозка на зиму варианты
Зажги маленькую
Корифей 210
Решите систему уравнение x 3y 2 144 фотографий












































































































































