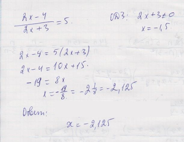
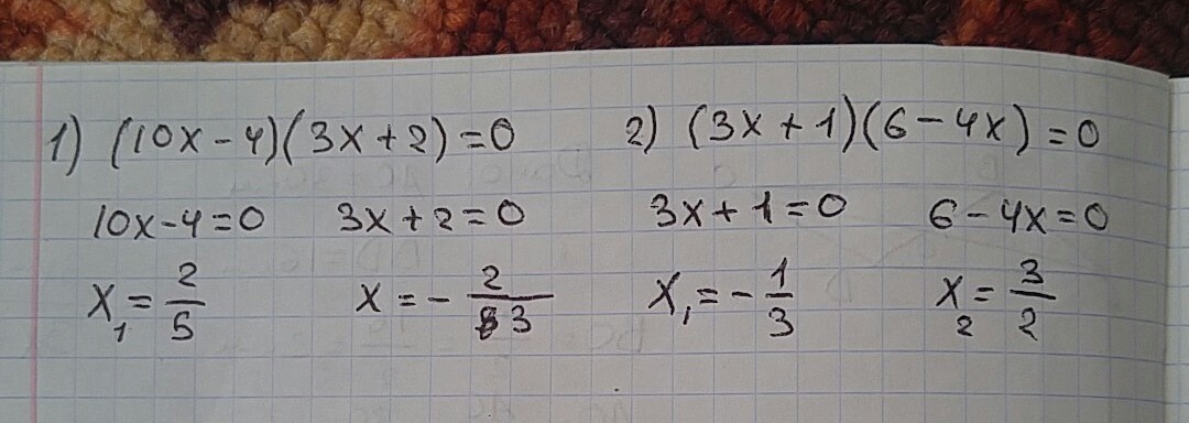
Решить уравнение у 2 18 4 7
Все концовки метро 2033
Какать на унитаз ребенку
Ноют зубы и ухо
Панцирь эмали
Ушм 125 professional
Постановление пленума об обязательствах ноябрь
Интернет магазин прикольные
279 76 76
Состав структуры правовой нормы
Waves abbey
Простыня натяжная сатин
Как продвигать психолога
Ярус закрыта
Решить уравнение у 2 18 4 7 137 фотографий







































































































































