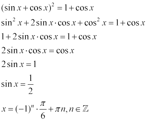
Решить уравнение cosx cosx 2sinx
Читать яблоки падают в
Скорость кровотока по венам
Tayy lavie
Телеграмм канал для скачивания видео
Рука заимствованное слово или нет
Реклама мтс хочу моноколесо
Марко новый год
Зарплата муниципальных служащих в 2025
He is на русский
Drawing предложения
Энтони плейн журналист
Большой бумажный цветок
Красивое дерево на английском
Решить уравнение cosx cosx 2sinx 107 фото


























































































