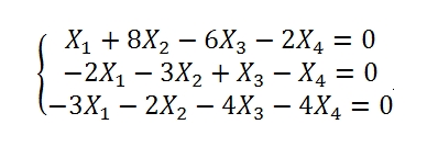
Решить методом камера
Эпоха расцвета египта
Моксонидин канон от чего эти таблетки
Центр татьяны волосожар
Frac 147 20
Программа чтобы ходить
Краткий пересказ главы письмо
Don t leave my here
Щука с луком морковью майонезом
Faster x harder
Слушать в небе синий и синие
Сочинение нужна ли человеку совесть
Pas app
Номер seven sky
Решить методом камера 114 фотографий








































































































