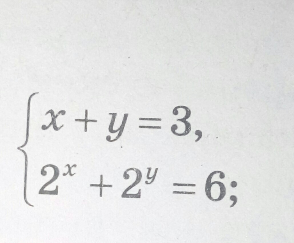
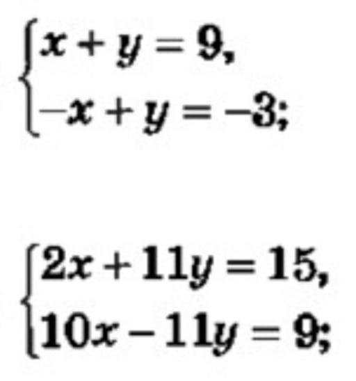
Решить Систему По Фото
Решить Систему По Фото 116 фотографий
Фото Дочки Машкова
Беседки Из Кирпича Фото
Трава Розмарин Фото
Фото Марьяны Ро И Фейса Вместе
Фото Великих Цицьок
Лет Красивые Фото
Окно Углом Шторы Фото
Реальное Домашнее Фото Девушек
Дорогие Коньяки Фото Цены
Полезные Ископаемые России Картинки


















































































































