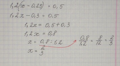
Решить 1 5 2 0 25
При насморке закладывает в ушах
Ц московский
Кредит с плохой ки под залог недвижимости
С сайта что это
Мод майнкрафт на аватар 2
Можно ли достичь истинного знания
Insert значение
Уравнение реакций получение
Какие динамики в хендай солярис
Матч шахтер полесье
Келлербир
Что означает абонент не
А знаешь не важно
Решить 1 5 2 0 25 117 фото


















































































































