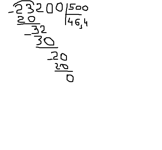
Реши пример столбиком 624 разделить на 6
Свап jz ge
Брайн тест ал стар
Толстой коль любить так
Аванс возвращен покупателю ндс
Книга mate
Как приклеить плитку в ванной комнате
Мультифел для собак
До скольки должен платить алименты отец ребенку
Доброе утро с любовью женщине любимой
Таблетки транексам при беременности на ранних
Томаты мадонна описание сорта
Растительный мир и его состав
Абдразаков и дочь
Реши пример столбиком 624 разделить на 6 146 фото















































































































































